Hm Navy Rate
Us Navy Rate Canvas Veterans Nation
Navy Hm Hospital Corpsman Training Ranks And Fmf Corpsman Details
6 Things Corpsmen Should Know Before Going To The Greenside We Are The Mighty
When Hospital Corpsmen Hm Serve With The Fleet Marine Force Fmf They Are Authorized To Wear Usmc U Navy Corpsman Navy Hospital Corpsman United States Navy
Hospital Corpsman In The U S Navy Youtube
Ppt Hm Enlisted Community Management Powerpoint Presentation Free Download Id
The HM is the rating for a hospital corpsman in the United States Navy The three corresponds to the rank of individual, which in this case is Petty Officer 3rd class My rating was EM2, which is electrician's mate 2nd class.
Hm navy rate. 1 The HM rating is shore centric and promotes by rate not by NEC Assignment distribution , and sea duty opportunity is defined by NEC 2 Sea Shore Flow is defined by NEC Many NECs within the rating have minimal or no sea duty opportunity 3 Special Duty NPC, BUPERS, BUMED, White House, Camp David Office, Defense Health Agency (DHA), HMX1,. U S Navy Rating Hospital Corpsman Rate size is 6" x 4" New Old Stock Never Sewn On Embroidered chevron, eagle and rate on cotton This style came into use about 19 and is current today Seller assumes all responsibility for this listing Shipping and handling. Navy Rate HM2 Hospital Corpsman 2nd Class Petty Officer HMB $750 $100 shipping Seller 100% positive Navy Rate GM3 Gunner's Mate 3rd Class PO *Folded Under* GMB $400 $100 shipping Seller 100% positive Picture Information Image not available Mouse over to ZoomClick to enlarge.
Navy Rate HM1 Hospital Corpsman 1st Class Petty Officer HMB $750 $100 shipping Seller 100% positive Navy Rate GM1 Gunner's Mate 1st Class Petty Officer GMB $750 $100 shipping Seller 100% positive Navy Rate HM3 Hospital Corpsman 3rd Class PO *Folded Under* HMB. This is an official US Navy Website Need Career, Pay or Personnel help?. A Navy rating is defined as an occupation that consists of specific skills and abilities Each rating has its own specialty badge which is worn on the left sleeve by all qualified men and women in that field.
If you want to reach a Navy Officer rank then at least four years of college is required, therefore, schooling is also a factor for advancing Rankings within HM HM RANK Navy Rank E1/ E2/ E4 E5 E6 E7 E8 E9 Navy Seaman Apprentice/ Navy Seaman Navy Petty Officer Third Class Navy Petty Officer Second Class Navy Petty officer First Class. As a Hospital Corpsman, our Sailors are in your hands This is one of the most diverse rates in America’s Navy Be anything from a medical assistant to a phy. Rate/Rating E1 HR Hospitalman Recruit E2 HA Hospitalman Apprentice HN Hospitalman E4 HM3 Hospital Corpsman 3rd Class E5 HM2 Hospital Corpsman 2nd Class E6 HM1 Hospital Corpsman 1st Class E7 HMC Chief Hospital Corpsman E8 HMCS Senior Chief Hospital Corpsman.
The US Navy is a little confusing with how they reference their enlisted personnel The combine their rank (how senior they are) with their NEC rating ("Navy Enlisted Classification" their job field) into one title and abbreviation An HM1 is a "Hospital Corpsman, First Class" a Navy medic who is an E6 (Petty Officer First Class). U S Navy Rating Hospital Corpsman Rate size is 5 3/4" x 3 3/8" New Old Stock Never Sewn OnFully embroidered chevron, eagle and rate This style was in use from 1970's through 1980's. Navy Rate HM1 Hospital Corpsman 1st Class Petty Officer HMW $550 $100 shipping Seller 100% positive US NAVY 3RD CLASS PETTY OFFICER HOSPITAL CORPSMAN RATE RANK MILITARY PATCH #2 $1295 Free shipping Seller 100% positive Picture Information Image not available Mouse over to Zoom.
The “Caduceus” is the Navy Corpsman rating insignia Both symbols feature two snakes winding around a winged staff Also Read This is why Navy medics get combat first aid training in US cities 4 Deployments Everyone’s going to deploy at on time or another — it’s a fundamental part of military life. Navy Credentialing Opportunities Online (COOL) HMHospital Corpsman You selected MidCareer—this applies to Sailors in paygrades E4E6 To help you focus on the credentials most applicable to this phase in your career, the certification list has been filtered to only show COOLfunded certifications that are LaDRdesignated for your rating at the E4E6 level. The “Caduceus” is the Navy Corpsman rating insignia Both symbols feature two snakes winding around a winged staff Also Read This is why Navy medics get combat first aid training in US cities 4 Deployments Everyone’s going to deploy at on time or another — it’s a fundamental part of military life.
A brief overview of Navy enlisted rate and ratings follows Two similar sounding terms are used to describe Navy enlisted status rate and rating Rate equates to military pay grade and rating is one's occupational specialty Petty officer third class (PO3) is a rate. Enlisted navy rates are broken down into three levels Apprenticeships (E1 through ), Petty Officers (E4 through E6), and Chief Petty Officers (E7 through E9) Apprentice Ranks (E1. 1st c of t first captain of tops;.
A hospital corpsman (HM / ˈ k ɔːr m ə n / or corpsman) is an enlisted medical specialist of the United States Navy, who may also serve in a US Marine Corps unit The corresponding rating within the United States Coast Guard is health services technician (HS). Hospitalman Navy Rating HM3 to HMCM Semester Credits 9 to 39 based on rank Excelsior College Requirements Course Level Communications HM3 to HMCM 3 Humanities Lower Health Assessment HM3 to HMCM 3 Health Sciences Component Lower EMT Field Experience HM3 to HMCM 3 Health Sciences Component Lower. Enlisted navy rates are broken down into three levels Apprenticeships (E1 through ), Petty Officers (E4 through E6), and Chief Petty Officers (E7 through E9) Apprentice Ranks (E1.
John Stacey, United States Navy Rating Badges and Marks 13 to 08, Matthews NC, ASMIC Pubs, 08 US Navy Department, Bureau of Naval Personnel Information Bulletin and All Hands monthly, , online archive US Department of the Navy, Naval History and Heritage Command, "Ratings (Jobs) of Enlisted Personnel in the U S Navy". The maximum ASVAB score is 99 For enlistment into the Navy you must get a minimum ASVAB score of 35 Each Navy job is given a code known as a Navy Enlisted Classification (NEC) Every NEC has. WHEN YOU INVEST IN YOUR COUNTRY, WE INVEST IN YOU EARN UP TO $40,000 IN ENLISTMENT BONUSES AND $65,000 IN LOAN REPAYMENT WHEN YOU JOIN Highdemand ratings are now eligible to earn bonuses in America’s Navy, and you may qualify for more than one.
In the United States Navy, a rate is the military rank of an enlisted sailor, indicating where an enlisted sailor stands within the chain of command, and also defining one's pay gradeHowever, in the US Navy, only officers carry the term rank, while it is proper to refer to an enlisted sailor's pay grade as rate The same term also refers to one's area of occupational specialization within. Other Service Veterans (OSVET) with military training/skills directly convertible to a Navy rating in the Reserve may affiliate into the rating regardless of your previous AFQT or line scores OSVETs seeking active duty must qualify for a rating or program listed as critically undermanned to be enlistment eligible Hospital Corpsman HM VE. Nuclear Field (NUCNF) — $38,000.
Hospitalman Navy Rating HM3 to HMCM Semester Credits 9 to 39 based on rank Excelsior College Requirements Course Level Communications HM3 to HMCM 3 Humanities Lower Health Assessment HM3 to HMCM 3 Health Sciences Component Lower EMT Field Experience HM3 to HMCM 3 Health Sciences Component Lower. INDEPENDENT DUTY CORPSMAN STUDENTS Congratulations on your orders to Independent Duty Corpsman (IDC) School IDC School is designed for motivated E4 thru E7 Hospital Corpsmen who seek great responsibility and become one of the most respected NEC’s in the Medical Enlisted Community as well as in the Navy. Call MyNavy Career Center 3330MNCC , or MNCC (DSN 8 6622 ), Email MNCC , MNCC Chat.
The Navy has a long history of exceptional Hospital Corpsman since its beginnings in the late 1800s Navy Corpsmen do not just work in Naval Hospitals or onboard ships, they are also part of ground fighting units within the Marine Corps and the Navy and Marine Corps Special Operations and Special Warfare Communities. This is the appropriate rating patch for US Navy personnel with the rating of Hospital Corpsmen HM1, HM2, or HM3 Navy rates are only sold as first class rates and can be cut to second or third class Hospital Corpsmen (HM) are medical professionals who provide health care to service people and their families. The maximum ASVAB score is 99 for each subtests or subject areas, and the minimum ASVAB score you need to get is 35 to enlist in the Navy Here’s a complete list of all 93 Navy Ratings (jobs) in alphabetical order, as well as the minimum ASVAB score for each rating.
Rate/Rating E1 HR Hospitalman Recruit E2 HA Hospitalman Apprentice HN Hospitalman E4 HM3 Hospital Corpsman 3rd Class E5 HM2 Hospital Corpsman 2nd Class E6 HM1 Hospital Corpsman 1st Class. FileRating example patchespng From left to right a Special Warfare Operator 1st Class and a Boatswain's Mate 2nd Class United States Navy ratings are general enlisted occupations that consist of specific skills and abilities Each naval rating has its own specialty badge, which is worn on the left sleeve of the uniform by each enlisted person in that particular field. Machinist's Mate Submarines (MMS5YO) — $10,000;.
Hospital Corpsman (HM) Most of what you do in the Navy Reserve is considered training The basic Navy Reserve commitment involves training a minimum of one weekend a month (referred to as drilling) and two weeks a year (referred to as Annual Training) – or the equivalent Hospital Corpsmen in the Navy Reserve serve in an Enlisted role Before. Information Systems Technician Submarines (ITSATF) — $15,000;. Pay Grade Established in 1942, the United States Navy had a set system of salary for its enlisted men This system was based on the class or rating of the sailor In addition to the standard salary, the awards of the Medal of Honor, Distinguished Service Medal, Distinguished Flying Cross, or the Navy Cross granted the recipient an additional $0 per month.
OPNAVINST E, Navy Safety and Occupational Health (SOH) Program Manual for Forces Afloat OPNAVINST 174A , Suicide Prevention Program (PMK) OPNAVINST C , Operational Risk Management (ORM) (PMK). MC E6 Rate Hospitalman HM on Green Polywool SKU $695 MC E6 Rate Hospitalman HM on Khaki SKU $695 Navy Combo Rate Aviation Antisub Warfare Operator on blue serge SKU $415 Navy Combo Rate Aviation Antisub Warfare Operator on white. 1st c of mt first captain of the maintop;.
Missile Technician (MTAEF) — $15,000;. LEADERSHIP As Leading Petty Officer during his tenure at Navy Medicine Training Support Center, Fort Sam Houston, Texas, Hospital Corpsman Third Class St Hilaire, displaying excellent leadership qualities, assisted the Navy Military Training Instructors in the daytoday management of Class 0 ensuring 100 percent of requirements were met. The largest rate, also known as job, in the Navy is the rate of Hospital Corpsman (HM) Within this 26,000 personnel force there are roughly 8,800 HM’s who serve with the USMC Fleet Marine Force.
Information Systems Technician (ITSG) — $10,000;. OPNAVINST E, Navy Safety and Occupational Health (SOH) Program Manual for Forces Afloat OPNAVINST 174A , Suicide Prevention Program (PMK) OPNAVINST C , Operational Risk Management (ORM) (PMK). FileRating example patchespng From left to right a Special Warfare Operator 1st Class and a Boatswain's Mate 2nd Class United States Navy ratings are general enlisted occupations that consist of specific skills and abilities Each naval rating has its own specialty badge, which is worn on the left sleeve of the uniform by each enlisted person in that particular field.
Navy officials say that the 243 percent average is good, which is much higher in some ratings This left 64,4 or 7260 percent to try again in the fall Meanwhile, 2,739 or 308 percent failed. In the Navy, Corpsman will become Navy SEALs or Divers attending Basic Underwater Demolition/SEAL Training or Navy Dive and Salvage School to be the medical professional in those commands To become a USMC RECON corpsman, you also have to graduate the Basic RECON Course and attend the Special Operations Combat Medic (SOCM) Course, which is a 36. The Dental Technician rating was first developed in 1948, but, in 05, the rating was folded into the HM rating and is referred to as HMDA The Navy's computerized personnel system associates the rating name with an alphanumeric Navy Occupational Specialty (NOS) code For HM, the NOS is G000.
A hospital corpsman (HM) /ˈkɔərmən/ is an enlisted medical specialist of the United States Navy who serves with US Navy and who may be assigned temporary duty with the United States Marine Corps or Fleet Marine Force They are the only enlisted corps in the United States Navy 1 Overview 2 History 3 Training 4 Organization 5 Rate/rating structure 6 Badges 7 Ships named in honor of. The Dental Technician rating was first developed in 1948, but, in 05, the rating was folded into the HM rating and is referred to as HMDA The Navy's computerized personnel system associates the rating name with an alphanumeric Navy Occupational Specialty (NOS) code For HM, the NOS is G000. Hospital Corpsman (HMATF) — $18,000;.
Navy corpsmen are classified as the HM rating At RTC, every recruit begins at the lowest enlisted rank, Seaman Recruit (E1) The first three ranks (E1 through ) are referred to as apprenticeships and for the HM rate are designated as Hospitalman Apprentice (HA for E2) and Hospitalman (HN for ). Information Systems Technician (ITATF) — $5,000;. 4 When Navy Hospital Corps was founded 18, 25 senior apothecaries were appointed by the Navy to serve as head pharmacists These 25 men are referred to as the “charter members” of the Hospital Corps 5 The Hospital Corps is the most decorated rating in the Navy and one of the most decorated in the military.
On Dress Blue Hm Navy E 2 E 3 Combo Rate Badge Hospital Corpsman Genuine U S Militaria Pins
Hm The Best Navy Rate Navy Corpsman Navy Mom Go Navy
Navy Hm Hospital Corpsman Training Ranks And Fmf Corpsman Details
Genuine U S Navy E 2 E 3 Combo Rate Badge Hospital Corpsman Hm On Dress White Ebay
Q Tbn And9gcrbnle7zblt84lid5nsz6algez1 Gn8oltki2pxwpe4ncjq Kdt Usqp Cau
List Of United States Navy Ratings Wikipedia
Navy Rating Badges Vanguard Industries
Submarine Rate Hospital Corpsman Hm Logo Navy Challenge Coin 28 49 Picclick
Www Cool Navy Mil Usn Enlisted Rating Info Cards Hm Pdf
Navy Enlisted Rates Non Commissioned Officers Navy Dads
Navy Hm Hospital Corpsman Training Ranks And Fmf Corpsman Details
Navy Cool Summary Hm Hospital Corpsman
Pdf Forecasting Advancement Rates To Petty Officer Third Class For U S Navy Hospital Corpsmen Semantic Scholar
Us Navy Store Best Price For Navy Apparel Clothing Gear Veterans Nation
Navy Rate Hospital Corpsman Navy Rate Hospital Corpsman Mask Teepublic
5 Key Differences Between Army Medics And Navy Corpsmen We Are The Mighty
Medical Support Careers Navy Com
On Dress Blue Hm Navy E 2 E 3 Combo Rate Badge Hospital Corpsman Genuine U S Militaria Pins
Navy Enlisted Rates Non Commissioned Officers Navy Dads
Q Tbn And9gcqrb8jnpndqubywuhaos2ctgmrflnaoqqzhzw49mjl 9vpuf1k9 Usqp Cau
Hydrographic Meteorological Oceanographic Able Rate Royal Navy Badges
What Rank Is Hm3 In The Navy Quora
14 Navy Ranks Ideas Navy Ranks Navy Us Navy
Sar The Us Navy Search And Rescue Swimmers
6 Things Corpsmen Should Know Before Going To The Greenside We Are The Mighty
U S Navy Rating Insignia Hospital Corpsman Hm Vector Image
Www Cool Navy Mil Usn Enlisted Rating Info Cards Hm Pdf
On Dress Blue Hm Navy E 2 E 3 Combo Rate Badge Hospital Corpsman Genuine U S Militaria Pins
Navy Hm Hospital Corpsman Training Ranks And Fmf Corpsman Details
Navy E 4 5 6 Hospital Corpsman Rating Badge Usamm
Corpsman Rate Rating Chart Hr E 1 Hmcm E 9 Navy For Moms
Q Tbn And9gctvz1zu9g3jgehnat3a Snatd9cmj12cgzrpvhxjxk Usqp Cau
Navy Hospital Corpsman Rating
Royal Navy And Royal Marines Ranks And Rates Ppt Video Online Download
Hm Hospital Corps A School In San Antonio Navy For Moms
Navy Hospital Corpsman School Graduation First Of Its Kind Joint Base San Antonio News
Hospital Corpsman Wikipedia
Navy E 4 5 6 Hospital Corpsman Rating Badge Usamm
Navy Jobs Programs For Enlistment
Navy Hm What Is Hospital Corpsman Youtube
Submarine Rate Hospital Corpsman Hm Logo Navy Challenge Coin 28 49 Picclick
How Does The Navy Enlisted Promotion System Work
Navy Rate Hospital Corpsman Navy Rate Hospital Corpsman Sticker Teepublic
Navy Cool Summary Hm Hospital Corpsman
2
Navy Hm Hospital Corpsman Petty Officer 3rd Class Shirt Navy Ranks Navy Corpsman Navy Rates
260 Navy Corpsman Then Now Always Ideas Navy Corpsman Navy Navy Hospital Corpsman
Hm Quotas Are About To Get Even Worse Navy
Q Tbn And9gct92mgmg6 Wdc9opplkt5e1u9a55xe2gvsh Mnnm7g Usqp Cau
Navy Rate Test Prep Home Facebook
U S Navy Hospital Corpsman Hm Rating Badge
Nswmentor Com Rating Info Hm Atf Briefing Card Pdf
Us Navy Hospital Corpsman Hm Chrome License Plate Frame Us Navy Rate License Plate Frames Priorservice Com
How Does The Navy Enlisted Promotion System Work
Hospital Corpsman Wikiwand
U S Navy Hospital Corpsman Salaries In The United States Indeed Com
Marines Honor Fallen Corpsman As Their Own Military Com
Navy Hospital Corpsman Rating
Check Out This Awesome Navy Rate Hospital Corpsman Design On Teepublic Navy Corpsman Navy Hospital Corpsman Navy Rates
Hospital Corpsman Etsy
Hospital Corpsman Wikiwand
Hospital Corpsman Wikipedia
Navy Cool Summary Hm Hospital Corpsman
Hospital Corpsman Wikipedia
Special Amphibious Reconnaissance Corpsman Wikipedia
Us Navy Hospital Corpsman Hm Rate Silver Belt Buckle Original Military Issue Ebay
Navy Custom Lapel Pin Hospital Corpsman Hm Pitch And Rudder
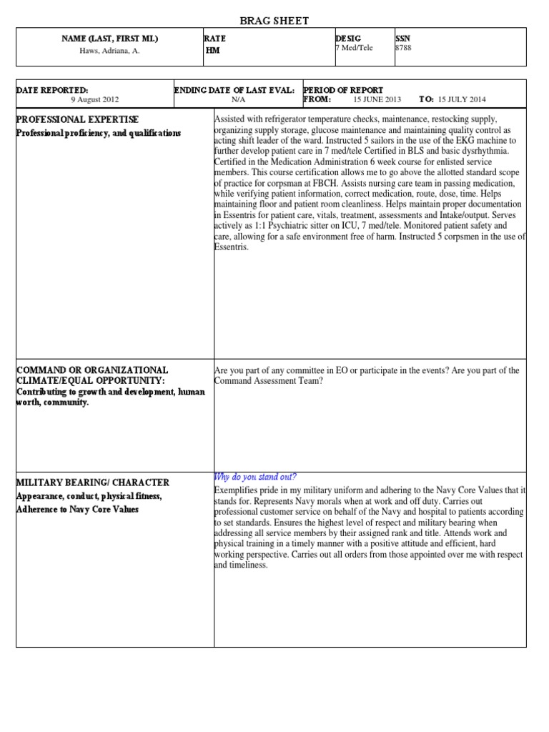
123 Brag Sheet 2 Medicine Health Care
Navy Rating Badges Vanguard Industries
Navy Rating Badges Vanguard Industries
Hospital Corpsman Hm Navy Enlisted Rating
Navy Cool Summary Hm Pharmacy Technician
Www Cool Navy Mil Usn Enlisted Rating Info Cards Hm Pdf
Us Navy Enlisted Classification Codes
Navy Hospital Corpsman Atf Program
Navy Rating Asvab Score Requirements
Why I Chose Hm Advice On Picking A Rate In The Navy Youtube
Pin By Norma Lisa On U S Navy Navy Ranks Navy Military Navy Girlfriend
What Rank Would A Navy Fmf Corpsman Have After 6 Years Of Active Duty Quora
Asvab Scores And Navy Jobs Military Com
Navy Cool Summary Hm Hospital Corpsman
On Dress Blue Hm Navy E 2 E 3 Combo Rate Badge Hospital Corpsman Genuine U S Militaria Pins
Navy Corpsman Training Revision Coming To Joint Base San Antonio Joint Base San Antonio News
Navy Hm Hospital Corpsman Training Ranks And Fmf Corpsman Details
Hospitalcorpsmen Instagram Posts Gramho Com
Navy Enlisted Classifications For Hospital Corpsman
Why Hospital Corpsman Is The Navy Job To Avoid In 19 Youtube
Navy Custom Lapel Pin Hospital Corpsman Hm Pitch And Rudder
List Of United States Navy Ratings Military Wiki Fandom
Navy Custom Lapel Pin Hospital Corpsman Hm Pitch And Rudder
Navy Enlisted Classifications For Hospital Corpsman
The Job My Dad Did In The Navy Us Navy Corpsman The Us Navy Corpsman Main Mission Is To Treat Naval Offic Military Coins Military Challenge Coins Navy Rates
Amazon Com Boomsavings Us Navy Rank Rate Hospital Corpsman Hm Gradient 6 Magnet Automotive
Us Navy Corpsman Etsy
Genuine British Royal Navy Hm Warfare Able Rate Qualification Badge Asps90 Ebay
Navy Custom Lapel Pin Hospital Corpsman Hm Pitch And Rudder
Submarine Rate Hospital Corpsman Hm Logo Navy Challenge Coin Ebay
Hospital Corpsman Etsy


