T Or D Dares And Truths
171 Really Good Truth Or Dare Questions The Only List You Will Need
Best Truth Or Dare Questions Ideas To Ask Your Friends
600 Truth Or Dare Questions To Ask
My Girlfriend Told Me During A Game Of Truth Or Dare That She Has Deliberately Let The Dog Lick Her Vagina And Since Then I Haven T Had Sex With Her Nanoissupenor
Best Truth Or Dare Questions And Dares Teen Vogue
Great Fun Etc Family Fun Cowboy Cookout With Truth Or Dare
As you can see from this list, there are a lot of truth or dare questions to ask a guy so have fun with it!.
T or d dares and truths. Is one of the best question answering and challenging game played by all age groups Truth or Dare Questions Game is rated as one of the best night out game for a group of members Truth or Dare game requires minimum of 57 participants Here are the Crazy truth or dare questions Truth or Dare Questions Truth Questions. Good Dares for Truth or Dare game T or D is a popular game that requires 'daring' The game of truth or dare is popular among kids, teens, and adults who want to add some FUN to parties and gettogethers The game of truth or dare questions can sometimes turn out to be very embarrassing But, come on ;. Great Truth or Dare Questions, Even Better Dares.
Download the app here!. Our truth or dare app is the ultimate way to play truth or dare You'll be able to enjoy the game anywhere including offline as well!. The rules of “Truth or Dare” are quite simple!.
Truth or Dare DARE QUESTIONS LIST Lick peanut butter or some other kind of spread off someone’s cheek Close your eyes and let another player feed you one spoonful of anything in the fridge Go skinny dipping in a pool or streak around the house Let one person spank you as hard as they want to, on your butt. If they pick ‘truth’, the other player will ask a simple, embarrassing, or tricky question They should answer it truthfully, without any fiction or omissions If they pick “dare”, the other person will ask them to do something daring, and the player has to do it without hesitation. Canva Embarrassing Truth Questions.
Dare Do your best acceptance speech for an award of your choice Truth Do you believe in love at first sight?. The best truth or dare questions for your next fun night honest and eyeopening truth questions and sexy dares. Truth or dare is one epic game that can light up any gathering You get the opportunity to learn new things about people and also test their limits with fun dare games Finding the right questions to ask, or the right to dare for the game can be quite challenging To better matters, this article.
Then the truth or dare questions game is the choice for you No one will get angry because the point of the game is to ask embarrassing questions and give crazy dares The crazier dares guarantee better fun It doesn’t matter how old you are when you play this game The important thing is that you have the time of your life Believe me, you will. Truth Dare Questions website is developed especially for providing interesting questions for playing truth or dare game We have collected more than 00 truths and dares which you can use to make your game interesting For convenience, we filtered truth or dare questions for adults, kids, couples, married couples, girls, boys, over text etc. On that note, this game is supposed to be fun, so don’t choose any questions or dares that could cause emotional damage or physical harm!.
In Truth or Dare, players take turns asking each other ‘truth or dare?’ If the other participants choose ‘truth,’ they’re required to respond to a question of the asker’s choice factually and honestly. A truth or dare question needs to be asked to the person at whom the bottle stops rotating Each player can ask a question by taking turns The question has to begin with asking ‘ truth or dare ’ If the player selects truth, then ask a question which needs to be answered with utmost honesty. The best truth or dare questions get people to open up, but don’t totally scare them off They add some excitement to a party, but don’t pull the fire alarm – so to speak Here are 29 of the best truth or dare questions for adults 1 What is one embarrassing fact I should know about you?.
For more dirty truths and dares, check out 400 Dirty Truth or Dares Eventually, someone will choose "truth," so make sure you have some juicy questions lined up Photo by Eliott Reyna on ;. Check our free Truth or Dare app Sexy & revealing dares Ever wanted to ask your lover or partner to do things, but shied away because you weren’t sure they’d like it?. Pretend a stuffed animal is that the person you wish, tell it however you’re feeling.
Romantic Dares for Girlfriends and Boyfriends Sing a romantic song for the person you love Take a selfie while having sex with your partner Present a rose to the first girl you see Lick your partner’s fingers for the next 15 minutes Seduce your partner in front of your parents Partially undress your partner. That is to say, the questions must be answered only with the truth, or people must dare to do something embarrassing, yet fun. Don’t let the dares go too far Don't do anything illegal or lifethreatening If someone really doesn't want to do a dare, everyone in the game will pick a difficult dare of their own The player then must choose one of the new dares Choose wisely when electing to go to the alternate dares because they could be much worse.
Truth What is the worst date you’ve ever been on?. Well, it might be here in this fun video where we go through the rest of the amusing truths and dar. The dares in this dirty version of Truth or Dare will undoubtedly heat things up for a sizzling night!.
Truth or Dare has been around forever, but that doesn’t’ mean it’s ever going to get old!. A fun game meant for any party or special occasion, ‘truth or dare’ is popular amongst all age groups, as it makes a party/event rather interesting Participants can ask each other a list of truth or dare questions;. Amora on July 13, This was really fun for me and my best friend sleep over PUPPIES on July 12, These are really good truth or dares because they don't make people feel uncomfortable when they answer.
Twenty / tonefreshhh These truth or dare questions will help you kickstart a good time in seconds Whether you’re more of the truth type or the dare type, you’re sure to have fun when you ask each other these questions and challenge each other to these dares There’s something for everyone in this comprehensive list of truth or dare questions By Marisa Donnelly Updated February 15, 21. These fun truths and dares will tell you a lot about your friends and will make your next party a success Don’t forget to print them before your next gathering Have fun!. Truth or Dare Dares List And when they don’t want to tell you the truth we’ve got this lovely list of dares for you 1 Serenade the person to your right Be as animated as possible!.
Truth or dare questions turn ordinary gettogethers into lasting memories Whether you're just hanging with one friend or trying to take a party to the next level, truth or dare is a classic game that always produces hilarious (and sometimes revealing) results. Dare Stick your hand in the toilet bowl for 3 seconds Truth Where is the craziest place you have ever had sex?. One player starts off by asking another player “Truth or dare?” If the player picks “truth,” they are asked a question that they must answer honestly If they choose “dare,” they are given a command or some kind of action they need to perform.
That being said, you can use a Truth or Dare generator by yourself to practice for a game and decide what truths and what dares you'd be willing to accept in a real game It's also a good way to prepare both truth and dare questions for others so you don't have to spend a lot of time trying to come up with good questions during the game. A Clean Game of Truth or Dare One person is it They call on another person, "Truth or Dare?" may dare the person to do anything that is not dangerous, illegal, or hurtful The appeals process may also be used for dares Here are some ideas to get you started T What was the most embarrassing thing that happened to you at a grocery store. Truth Dare Questions website is developed especially for providing interesting questions for playing truth or dare game We have collected more than 00 truths and dares which you can use to make your game interesting For convenience, we filtered truth or dare questions for adults, kids, couples, married couples, girls, boys, over text etc.
Use of the Truth or Dare App?. Truth Or Dare By Text;. Table of Contents Truth or Dare may be a classic party game, but due to the power of technology, this game can be played at the ready You can play this game in a group chat or just oneonone with another player (oneonone becomes more of a questions game style).
When you and your friends are not close by, you all can still have fun playing truth or dare by implying texting the questions and answers/truths However for the dares, players will have to provide a picture or video evidence that they performed the dare Playing Truth or Dare On The Internet. Falling to your knees, arms gesturing wildly, make sure to go over the top and then some 2 Talk in an accent for the next 3 rounds. Truth or dare is one epic game that can light up any gathering You get the opportunity to learn new things about people and also test their limits with fun dare games Finding the right questions to ask, or the right to dare for the game can be quite challenging To better matters, this article.
Well, they already know that, don’t they?. If you are having problems, try reading the FAQIf you would like to add your own truth or dare questions to our site, please click hereTordol is free to use, but offers added features for paying subscribers. Sing Virgin Mary Had somewhat Lamb whereas doing a ballet dance;.
Here are some truths and dares to help inspire you in your next online game Questions For When They Pick Truth Nastasic/E/Getty Images 1. Ah, the beloved game of truth or dare It’s such a fun game to play with a group, but let’s be honest dares are a lot easier to come up with Make the ‘truths’ just as interesting as the dares with these questions for truth or dare for the girls, and for the guys. Planning a sleepover with friends, a beach party or just a fun party with your close friends None of the party is completed without embarrassing Truth or Dare questions fun game activity sprinkled over with few dirty flirty truth or dare questions to ask your friends that will definitely be an awesome ice breaker of monotonous parties.
This is a great early round icebreaker question. The Texting version of the classic truth or dare questions game is a great opportunity to secretly flirt with the guy you like, get to know him better, and find things you have in common – to get you closer than ever (See more ways to flirt with a guy without being obvious). Click here to learn how to play Truth or Dare Online If you are ready to play, click on preferences below to configure your game and get started!.
Select Page truth or dare generator by Oct 16, Uncategorized 0 comments Oct 16, Uncategorized 0 comments. Dare Eat a booger. Related 50 Truth or Dare Questions for WILD and CRAZY Party Dares for Truth or Dare If anyone says UM, you’ve got to fake to sneeze for the remainder of the sport;.
Truth or Dare Questions & Dares Interesting Dares Go up to someone and scare them Very affectionately kiss another participant (the rest can choose whom) Give a massage to a companion for 5 minutes Eat a tablespoon of butter Asks for money on the street telling a funny story and nothing credible and board 50$ Sing and dance in the street like crazy. Dare truth truth or dare Related Posts Good Truths for Truth or Dare. Our app contains over 1000 questions and dares for truth or dare As much to say that you have something to do with all that!.
Last updated on October 14th, at 0656 pm If you’re looking for the best t ruth or dare questions to ask your boyfriend, then you are in the place So let’s jump right into the fun questions Also Check Out 150 Cute Things To Say To Your Boyfriend. Best Dares for Truth or Dare Game These were some of the best truth or dare questions you can resort to when playing this fun party game However, there is another side of the coin when it comes to truth and dare If someone chooses dare over truth, the game can become yet more interesting There are hordes of dare to choose from, right from. Players take turns asking “truth or dare?” If you choose truth, you have to answer a question If you choose dare, the other players dare you to do something rather than make a confession For more info on the rules of Truth or Dare, visit the Ultimate Truth or Dare Guide.
Didn't see your truth or dare in the last food challenge?. Dares 51 Fuck me in a room where we’ve never had sex before 52 Go online and order me a sex toy you think I’d like 53 Show me a porn video you’d want us to act out together 54 Kiss my neck for 60 seconds 55 Do your best to try to make me orgasm in the next 5 minutes 56 Close your eyes and describe what my body looks like in. These are some of the best dares questions which were performed by many teenagers in truths or dares game Truth or Dare Questions Choose anyone here and dance with him/her Act like a Joker for 2 minutes Moonwalk while a friend takes a video Prank call someone you know and Propose him/her Spend the next round sitting on someone’s lap.
Truth or dare is one epic game that can light up any gathering You get the opportunity to learn new things about people and also test their limits with fun dare games Finding the right questions to ask, or the right to dare for the game can be quite challenging To better matters, this article. By Sonya Schwartz Truth or dare is one epic game that can light up any gathering You get the opportunity to learn new things about people and also test their limits with fun dare games Finding the right questions to ask, or the right to dare for the game can be quite challenging.
Great Fun Etc Family Fun Cowboy Cookout With Truth Or Dare
Pin On T Or D
Truth Dare Uncensored Stonecreek Church
Amazon Com Truth Or Dare Questions For All Appstore For Android
400 Dirty Truth Or Dare Questions Pairedlife Relationships
Pin On Games
Amazon Com Truth Or Dare Questions For All Appstore For Android
50 Extremely Good Truth Or Dare Questions
Best Truth Or Dare Messages For Whatsapp Facebook Instagram
Truth Or Dare Jenga Esl Worksheet By Jennings Teacher
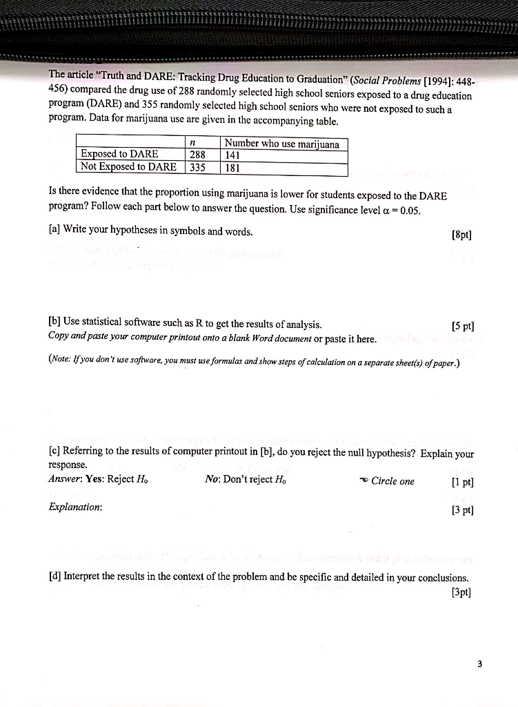
Solved The Article Truth And Dare Tracking Drug Educati Chegg Com
Great Truth Or Dare Questions Even Better Dares
600 Truth Or Dare Questions Revealing Truths Good Dares
Best Truth Or Dare Questions And Dares Teen Vogue
Truth Or Dare 18 Film Wikipedia
0 Truth Or Dare Questions For Crazy Party
171 Really Good Truth Or Dare Questions The Only List You Will Need
Truth Or Dare Etsy
Truth Or Dare Best T Or D Qs Quiz
Best Truth Or Dare Questions Ideas To Ask Your Friends
Truth Or Dare With Masky
T Or D With The Crew Swimming Ben Drowned Disaster Wattpad
Free Printable Truth Or Dare Game For Kids New Truth Or Dare Games Dare Games Birthday Party Games For Kids
Truth Or Dare Questions 50 Revealing Ideas Best Life
217 Truth Or Dare Questions And Dares To Make Your Jaws Drop
Tmnt Street Punks And Friends Truth Or Dare Crazy Dare Wattpad
Big D Little T Truth Or Dare For Android Apk Download
Discord Truth Or Dare T Or D W Zachary Husky Youtube
300 Truth Or Dare Questions To Ask Your Crush Or Anyone Else If You Want To Know Who They Really Are Thought Catalog
100 Best Truth Or Dare Questions For Your Next Party Man Of Many
10 Best Truth Or Dare Apps Dirty For Couples And Adults Nolly Tech
217 Truth Or Dare Questions And Dares To Make Your Jaws Drop
171 Really Good Truth Or Dare Questions The Only List You Will Need
400 Embarrassing Truth Or Dare Questions To Ask Your Friends Hobbylark Games And Hobbies
400 Dirty Truth Or Dare Questions Pairedlife Relationships
67 Truth Or Dare Questions That Ll Have You Red With Laughter And Embarrassment
Best Truth Or Dare Questions Ideas To Ask Your Friends
Truth Or Dare Party Game Online Game Hack And Cheat Gehack Com
Truth Or Dare Party Game By Refero S A
Tales For The Past And Future Truth Or Dare By Lynxgriffin 9gag
600 Truth Or Dare Questions The Ultimate List Improb
400 Dirty Truth Or Dare Questions Pairedlife Relationships
600 Truth Or Dare Questions Revealing Truths Good Dares
Whatsapp Games Whatsapp Dare Games Truth Questions Collection And All Other Funny Games 0 The State
Man Nails Tinder Opening Line By Asking Truth Or Dare Gets A Phone Number Every Time Huffpost Uk Life
Best Truth Or Dare Questions Ideas To Ask Your Friends
Pin By Maggie Murphy On Cricut Projects Truth Or Truth Questions Good Truth Or Dares Sleepover Things To Do
100 Best Truth Or Dare Questions For Your Next Party Man Of Many
Truth Or Dare Part 2 Youtube
Great Truth Or Dare Questions Even Better Dares
The Avengers Truth Or Dare Truth Or Dare 08 Wattpad
Truth Or Dare Adults For Android Apk Download
0 Truth Or Dare Questions For Crazy Party
T Or D With Gt 30 Day Challenge Day 29 Truth Or Dare With Glitchtale Amino
Naughty Truth Or Dare Game Type T D To Start Poster Bingo Keep Calm O Matic
Big D Little T Truth Or Dare For Android Apk Download
50 Extremely Good Truth Or Dare Questions
Truth Or Dare Undertale Amino
Pin By Jacqueline Kennedy On Stuff D This Or That Questions Fun Questions To Ask Getting To Know Someone
The Greatest Truth Or Dare Questions And Dares You Ll Ever Read
50 Extremely Good Truth Or Dare Questions
Light Instiz Truth Or Dare Game Anecdote About Baekhyun He Was So Popular To The Extent That When The Girls Gathered Together And Played Truth Or Dare Game His Name
217 Truth Or Dare Questions And Dares To Make Your Jaws Drop Dare Questions Truth Or Dare Questions Truth Or Dare Games
Pin By Shannon Stewart On Change This Or That Questions Fun Questions To Ask Things To Do At A Sleepover
400 Dirty Truth Or Dare Questions Pairedlife Relationships
Big D Little T Truth Or Dare For Android Apk Download
Solved Exercise 3 Let S Be The Set Of Words Are Bare C Chegg Com
250 Truth Or Dare Questions Good Truth Questions
Truth Or Dare Questions 18 Over Text Exemple De Texte
From The Truth Or Dare Askreddit Lets Just Say Op Isn T A Virgin Anymore Thathappened
Good Truth Or Dare Questions The Best Things To Ask Hobbylark Games And Hobbies
Man Nails Tinder Opening Line By Asking Truth Or Dare Gets A Phone Number Every Time Huffpost Uk Life
1231 Pm Ooooo At T Truth Or Dare Twerk For 30 Secs Truth Dare 1231 Pm Ooooo At T Truth Or Dare If You Had To Have A Threesome With 2 People Here Who
Big D Little T Truth Or Dare For Android Apk Download
Amazon Com Truth Or Dare Questions For All Appstore For Android
Truth Or Dare Club Penguin Wiki Fandom
Truth Or Dare Adults Applications Sur Google Play
Want To Play Truth Or Dare If Yes So What You Choose T Or D Brainly In
First Tour Truth And Dare Devotional By Ann Margaret Hovsepian Growingforchrist
Great Truth Or Dare Questions Even Better Dares
400 Embarrassing Truth Or Dare Questions To Ask Your Friends Hobbylark Games And Hobbies
2765 Flirty Truth Or Dare Questions 21 Boy S Girl S
1 Truth Or Dare Questions Best Truth Or Dare Questions
Christmas Dares For The Truth Or Dare Game
Whatsapp Games Whatsapp Dare Games Truth Questions Collection And All Other Funny Games 0 The State
Playing Truth Or Dare Review Game In Any Subject Area
171 Really Good Truth Or Dare Questions The Only List You Will Need
Truth Or Dare Questions In Hindi Change Comin
Truth Or Dare Chapter 1 Manhuascan
250 Embarrassing Dares For Truth Or Dare Hobbylark Games And Hobbies
Truthy Truth Or Dare By Games For Friends Llc
Great Truth Or Dare Questions Even Better Dares
Great Truth Or Dare Questions Even Better Dares


