Ms 16r31
Articulatory Movements In Adolescents Evidence For Protracted Development Of Speech Motor Control Processes Journal Of Speech Language And Hearing Research Vol 45 No 6
Boss Gt 3 Repair Manual
Dc Jack For Msi Gf63 Thin 8rcs 8sc 9rc 9rcx 9sc Wp65 9th Ms 16r3 Ms 16r31 Power Connector Port
Msi Gf 63 I7 9750h 2 6ghz Nvidia Rtx 60m Motherboard Ms 16r31 Ebay
Msi Gf63 9sc Ms 16r3 I7 9750h 2 6ghz Placa Madre Gtx 1650 4gb Ms 16r31 Ver 1 0 Ebay
Ruc2 Catalyst System Google Patents
本帖最后由 天意wx 于 1226 1958 编辑 如题: ms16r31 vre10 zzwbin (16 mb, 下载次数 4).
Ms 16r31. HASEE UL30C17 I3xilx Mb Rc Bios Bin. У вас нет доступа для просмотра вложений 1 Пожалуйста авторизуйтесь или зарегистрируйтесь. MSI GF63 MS 16R3 Notebook Papan Utama MS 16R31 CPU I7 9750H GPU GTX1650 Perusahaan 100% Bekerja,Beli dari penjual di Tiongkok dan di seluruh dunia Nikmati pengiriman gratis, penjualan terbatas, pengembalian mudah dan perlindungan pembeli!.
MSI GF63 iH 26GHZ NVIDIA RTX 60m Motherboard MS16R31 ASUS Q534UX UX560UX CORE IU 8GB NVIDIA GTX950M MOTHERBOARD 60NB0CE0M610 MSI APACHE CORE iHQ/27Ghz, NVIDIA GeForce GTX 950, MS16J3109S/006 NEW Dell Inspiron 15 7537 Motherboard Intel iu CPU nVidia GT750M 2KN1H. Nikmati Pengiriman Gratis ke Seluruh Dunia!. MSI GF63 THIN 9SC MS16R31 Bios MS16Rbin MS16R3106bin 9th Gen.
Free shipping for many products!. HASEE UL30C17 I3xilx Mb Rc Bios Bin. Motherboard for laptopmotherboards including processor chips, MSI brand, P / N R3118S, MS16R31 10 OPT Q Intel CFLHR iH, Micron 4GB VRAM, N18PG0, Intel HM370, DDR4, New 100% China piece/pcs.
SupStone hakiki BTY M6K Laptop pil için MSI MS 17B4 MS 16K3 GS63VR 7RG GF63 ince 8RD 8RD 031TH 8RC GF75 ince 3RD 8RC 9SC,Çin'den ve diğer ülkelerden ürün satın alın Üstelik ücretsiz gönderim, sınırlı indirimler, kolay iade seçeneği ve müşteri garantisi gibi özelliklerden de yararlanabilirsiniz!. Admin submitted a new resource MSI GF63 THIN 9SC MS16R31 MS16R3 BIOS MS16R31 MS16R3 Premium Only beer Read more Log in or Sign up Forum Teknisi Laptop Indonesia. MSI GF63 THIN 9SC MS16R31 ESE ES TU MODELO SI LO TENGO 11/01/21 Denunciar Es una Ms16r31 Ver 10 Denunciar Buenas tardes, seria para una MSI GF63 thin 9RCX si tendrian para programarlo para esa placa Denunciar Tendrá el modelo que trae la tarjeta madre ?.
MSI GF63 THIN 9SC MS16R31 MS16R3 BIOS 0406 admin, Apr 6, , OTHERS BIOS MS16R31 MS16R3 0 / 5, 0 votes Downloads 4 Updated Apr 6, Page 92 of 759. Motherboard for laptopmotherboards including processor chips, msi brand, p / n r3118s, ms16r31 10 opt q intel cflhr ih, micron 4gb vram, n18pg0, intel hm370, ddr4, new 100% China 1. Ücretsiz Kargo Worldwide tadını çıkarın!.
Find many great new & used options and get the best deals for MSI GF63 9SC MS16R3 iH 26Ghz Motherboard GTX 1650 4GB MS16R31 Ver10 at the best online prices at eBay!. HASEE UT43 HXT401 Bios Bin by Sandeep » Tue May 26, 812 am 0 Replies 3 Views Last post by Sandeep Tue May 26, 812 am;. MSI GF63 iH 26GHZ NVIDIA RTX 60m Motherboard MS16R31 MSI MS16R31 Tweedehands EUR 4,55 Topverkoper Topverkoper Nu kopen Vanuit Verenigde Staten EUR 27,60 geschatte verzendkosten Inclusief douaneservices en internationale tracking 25GHz i7 Logic Board 16GB A1398 MacBook Pro Retina Mid 15 MJLT2LL/A DG.
MSI MS16R3 Шасси (Main Board) MS16R31 Notebook MSI Model MS16R3 MKT Name GF63 Thin 8RCS/GF63 Thin 9RC/GF63 Thin 9RCX Motherbord MS16R31 BIOS E16R3IMS309 Категория Компьютеры, ноутбуки,. MSI GF63 iH 26GHZ NVIDIA RTX 60m Motherboard MS16R31 MSI MS16R31 Tweedehands EUR 4,55 Topverkoper Topverkoper Nu kopen Vanuit Verenigde Staten EUR 27,60 geschatte verzendkosten Inclusief douaneservices en internationale tracking 25GHz i7 Logic Board 16GB A1398 MacBook Pro Retina Mid 15 MJLT2LL/A DG. 本帖最后由 天意wx 于 1226 1958 编辑 如题: ms16r31 vre10 zzwbin (16 mb, 下载次数 4).
Nikmati Pengiriman Gratis ke Seluruh Dunia!. Sınırlı Zaman Satış Kolay. Free shipping for many products!.
Waktu Penjualan Terbatas Pengembalian Mudah. Disfruta de las siguientes ventajas Envío gratuito a todo el mundo Oferta disponible. Waktu Penjualan Terbatas Pengembalian Mudah.
ノートパソコンのマザーボードfx504g fx504gm fx504ge fx504gf fx504gdメインボードi5 00h i7 8750h cpu交換!!!,中国や世界のセラーからお買い物。 無料の送料、期間限定セール、簡単な返品やバイヤープロテクションをお楽しみ下さい! お楽しみください 世界中の無料配送!. Compre até 70% de desconto via https//ptanastoreblogspotcom/pt/_AqVZfa/html verificar especificação https//ptanastoreblogspotcom/p. Msi GS65 GF63 P65 PS63 WS65 9TH ステーションクリエーターステルス 156 インチ msi PS42 14 インチのラップトップシリコンキーボードカバースキン,中国や世界のセラーからお買い物。 無料の送料、期間限定セール、簡単な返品やバイヤープロテクションをお楽しみ下さい!.
MSI GF63 iH 26GHZ NVIDIA RTX 60m Motherboard MS16R31 ASUS Q534UX UX560UX CORE IU 8GB NVIDIA GTX950M MOTHERBOARD 60NB0CE0M610 MSI APACHE CORE iHQ/27Ghz, NVIDIA GeForce GTX 950, MS16J3109S/006 NEW Dell Inspiron 15 7537 Motherboard Intel iu CPU nVidia GT750M 2KN1H. Heip me msi no dispay bios backup ori check Attachments photo__1430jpg. Nikmati Pengiriman Gratis ke Seluruh Dunia!.
HASEE UT43 HXT401 Bios Bin by Sandeep » Tue May 26, 812 am 0 Replies 3 Views Last post by Sandeep Tue May 26, 812 am;. SupStone hakiki BTY M6K Laptop pil için MSI MS 17B4 MS 16K3 GS63VR 7RG GF63 ince 8RD 8RD 031TH 8RC GF75 ince 3RD 8RC 9SC,Çin'den ve diğer ülkelerden ürün satın alın Üstelik ücretsiz gönderim, sınırlı indirimler, kolay iade seçeneği ve müşteri garantisi gibi özelliklerden de yararlanabilirsiniz!. 微星 msi ms16r31 ms16u51 ms17f21 圖紙 點位圖 bios 程序 ¥ 8 30天銷量 1 神州 Z9CU7PK Z9CU7PS G9CU7PK G9CU7PS 原廠 BIOS 程序.
MSI GF63 MS 16R3 Notebook Papan Utama MS 16R31 CPU I7 9750H GPU GTX1650 Perusahaan 100% Bekerja,Beli dari penjual di Tiongkok dan di seluruh dunia Nikmati pengiriman gratis, penjualan terbatas, pengembalian mudah dan perlindungan pembeli!. Msi Gf63 9rcx Ms16r3 Ih 26ghz Motherboard Gtx 1050 Ti Ms16r31 Ver10 $ Msi Gf63 Thin 10scxr222 156” 256gb Ssd, Intel Core Ih, 25ghz, 8gb Ram. MSI MS16R31 PreOwned C $ Top Rated Seller Top Rated Seller Buy It Now From United States C $3362 shipping estimate RZ GENUINE RAZER MOTHERBOARD IH RTX 60 RZ READ (C)(DE53) PreOwned C $1,.
MS6702 VER 10 k8t Neo EUR 29,10 FOR SALE!. Ücretsiz Kargo Worldwide tadını çıkarın!. MSI GF63 THIN 9SC MS16R31 Bios bin file downloadWe are believing in reviving the technology and making minimum electronics waste, as our field is computers and laptops we are here trying to provide as much stuff as possible for free to make our contribution At this platform you can download confirm and tested bios files, schematics and other relative material to make it possible to repair.
Waktu Penjualan Terbatas Pengembalian Mudah. MSI GF63 THIN 9SC MS16R31 Bios Bin by Sandeep » Tue May 26, 814 am 0 Replies 354 Views Last post by Sandeep Tue May 26, 814 am;. Msi Gf63 Thin 256gb Ssd, Intel Core Ih 240ghz, Gtx 1650 Maxq, 24gb Ram $.
Placa base para MSI GF63 MS 16R3 notebook, MS 16R31 CPU I5 9300H GPU GTX1650 DDR4, trabajo de prueba de 100%,Consigue increíbles descuentos en artículos de vendedores chinos y de todo el mundo ¡Disfruta de envíos gratis, ofertas por tiempo limitado, devoluciones sencillas y protección al comprador!. MSI GF63 THIN 9SC MS16R31 ESE ES TU MODELO SI LO TENGO 11/01/21 Denunciar Es una Ms16r31 Ver 10 Denunciar Buenas tardes, seria para una MSI GF63 thin 9RCX si tendrian para programarlo para esa placa Denunciar Tendrá el modelo que trae la tarjeta madre ?. Find many great new & used options and get the best deals for MSI GF63 9RCX MS16R3 iH 26Ghz Motherboard GTX 1050 Ti MS16R31 Ver10 at the best online prices at eBay!.
MSI GF63 THIN 9SC MS16R31 Bios bin file downloadWe are believing in reviving the technology and making minimum electronics waste, as our field is computers and laptops we are here trying to provide as much stuff as possible for free to make our contribution At this platform you can download confirm and Read More ». You must log in or register to post here Home;. MS6702 ver 10 k8t NeoIn excellent working order Bonus AMD Athlon 64.
微星 msi ms16r31 ms16u51 ms17f21 圖紙 點位圖 bios 程序 ¥ 8 30天銷量 1 神州 Z9CU7PK Z9CU7PS G9CU7PK G9CU7PS 原廠 BIOS 程序. You must log in or register to post here Home;. Sınırlı Zaman Satış Kolay.
MSI GF63 THIN 9SC MS16R31 Bios bin file downloadWe are believing in reviving the technology and making minimum electronics waste, as our field is computers and laptops we are here trying to provide as much stuff as possible for free to make our contribution At this platform you can download confirm and Read More ». Motherboard for laptopmotherboards including processor chips, msi brand, p / n r3118s, ms16r31 10 opt q intel cflhr ih, micron 4gb vram, n18pg0, intel hm370, ddr4, new 100% China 1. Ddr4 under HS code Import Statistics of Vietnam from China Check ddr4 under HS code import statistics of Vietnam imports from China.
Msi Gf63 9sc Ms 16r3 Kupit V Amerike Lot
Ms6577 Ver Sale Us For Sale Ms6577 Ver Sale
Service Manual Electromagnetic Compatibility Random Access Memory
Msi Gf63 8rd I5 00h 2 30ghz Motherboard Gtx 1050 4gb Ms 16r11 Ver 1 0 324 99 Picclick
Service Manual Electromagnetic Compatibility Random Access Memory
Http Www Iaea Org Inis Collection Nclcollectionstore Public 33 031 Pdf R 1
Axioo M740sr Clevo M74xs M76xs 6 7p M74s9 003a Sg Sc Manualzz
Msi Gf63 9rcx Ms 16r3 I7 9750h 2 6ghz Motherboard Gtx 1050 Ti Ms 16r31 Ver 1 0 474 99 Picclick
2
Msi Gf63 غلاف امامي
Ne Trophy Bass Coastal Angler The Angler Magazine
Katalog Proshivok Radioelektronnoj Apparatury Remont Aud Net
Msi Gf63 9rcx Ms 16r3 I7 9750h 2 6ghz Placa Madre Gtx 1050 Ti Ms 16r31 Ver 1 0 Ebay
2
2
غطاء جلدى Msi Gf63 العلامات
Boss Gt 3 Service Notes Pdf Document
2
Tractorhouse
Arxiv Org Pdf Gr Qc
Msi Gf63 Thin 9sc 614 Motherboard I5 9300h 2 4ghz 1650ti 4gb Ms 16r31 Read Ebay
2
Pdf Patterns Of Antimicrobial Resistance On Staphylococcus Aureus Isolated From Raw Milk From Dairy Farms In Surabaya
2
South Florida Sun Sentinel From Fort Lauderdale Florida On August 13 1987 Page 50
Power Jack Replacement For Msi Pl60 Pl62 7rc 7rd Ms 16ja Ms16ja Dc In Cable Repair
2
Ilife Zed Air Y116c Rev2 1 Bios Alisaler Com
Download Schneider Electric Com Files P Doc Ref k
Msi Bios Bin File Page 2 Alisaler Com
Ruc2 Catalyst System Google Patents
2
微星筆記本主板雙十一性價比高品牌選購推薦 淘寶海外
2
غطاء جلدى Msi Gf63 العلامات
How To Fix Laptop Not Powering On Msi Ms 16r1 Msi Nl Broken Charge Port Power Jack Repair Charging Youtube
Msi Gf63 9rcx Ms 16r3 I7 9750h 2 6ghz Motherboard Gtx 1050 Ti Ms 16r31 Ver 1 0 474 99 Picclick
For Msi Gf63 Ms 16r3 Notebook Motherboard Ms 16r31 Cpu I7 9750h Gpu Gtx1650 Ddr4 100 Test Work Laptop Motherboard Aliexpress
For Msi Gf63 Ms 16r3 Notebook Motherboard Ms 16r31 Cpu I7 9750h Gpu Gtx1650 Ddr4 100 Test Work Laptop Motherboard Aliexpress
Http Www Guilleviniag Com Downloads Products Schneider Premium Premium discrete interfaces manual Pdf
Msi Bios Bin File Page 2 Alisaler Com
Partaker كمبيوتر ألعاب Ddr4 إنتل I5 00h I7 8750h I5 9300h 6 Core 12 المواضيع 12 متر ذاكرة التخزين المؤقت 14nm Nuc كمبيوتر صغير Win10 Hd التيار المتناوب واي فاي Bt Os Hearthweb
Lsm9ds0 Datasheet By Stmicroelectronics Digi Key Electronics
Individual Differences In Acoustic And Articulatory Undershoot In A German Diphthong Variation Between Male And Female Speakers Sciencedirect
Assets Publishing Service Gov Uk Government Uploads System Uploads Attachment Data File Rose Eia Pdf
2
Msi Global
غطاء جلدى Msi Gf63 العلامات
Amazon Com New Laptop Replacement Parts For Msi Gf63 8rc 8rd Ms 16r1 Lcd Front Bezel Cover 3076r1b211ta Mp3 Players Accessories
New Us Keyboard For Msi Gf63 Uslaptop Keyboard With Backlight Replacement Keyboards Aliexpress
لحام قياس أداة عدة V Wac مقياس تقويض المكبر 0 15 سنتيمتر حاكم 0 25 ميكرومتر فيليه مرحبا لو التفتيش ميرور 7pk
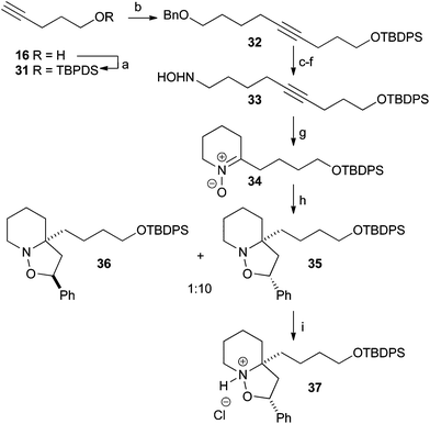
Intramolecular Nitrone Dipolar Cycloadditions Control Of Regioselectivity And Synthesis Of Naturally Occurring Spirocyclic Alkaloids Organic Biomolecular Chemistry Rsc Publishing
微星筆記本主板新加坡 微星筆記本主板店 微星筆記本主板程式 意思 淘寶海外
How To Fix Laptop Not Powering On Msi Ms 16k2 Msi Nl Broken Charge Port Power Jack Repair Gs63vr G51 Youtube
2
Katalog Proshivok Radioelektronnoj Apparatury Remont Aud Net
Pdf Injectable Biologics For The Treatment Of Degenerative Disc Disease
2
Used Planters For Sale By Baker Implement 11 Listings Www Bakerimplement Com Page 1 Of 1
Lsm9ds0 Datasheet By Stmicroelectronics Digi Key Electronics
For Msi Gf63 Ms 16r3 Notebook Motherboard Ms 16r31 Cpu I5 9300h Gpu Gtx1650 Ddr4 100 Test Work Laptop Motherboard Aliexpress
Msi Bios Bin File Page 2 Alisaler Com
975 G High Resolution Stock Photography And Images Alamy
Ms16f11 Ms 16f11 Ver 1 0 For Msi Gx660r Gx660 Gt660 Gt663 Intel Motherboard 147 Picclick
John Deere 1780 For Sale 63 Listings Tractorhouse Com Page 1 Of 3
Used Planters For Sale By Baker Implement 11 Listings Www Bakerimplement Com Page 1 Of 1
Msi Gf63 Thin 9sc Ms 16r31 Bios Bins
975 G High Resolution Stock Photography And Images Alamy
2
How To Fix Laptop Not Powering On Msi Ms 16r3 Msi Nl Gf63 Thin Broken Charge Port Power Jack Repair Youtube
Msi Global
Ms6577 Ver Sale Us For Sale Ms6577 Ver Sale
Amazon Com New Laptop Replacement Parts For Msi Gf63 8rc 8rd Ms 16r1 Lcd Front Bezel Cover 3076r1b211ta Mp3 Players Accessories
Msi Gf63 9sc Ms 16r3 I7 9750h 2 6ghz Placa Madre Gtx 1650 4gb Ms 16r31 Ver 1 0 Ebay
لحام قياس أداة عدة V Wac مقياس تقويض المكبر 0 15 سنتيمتر حاكم 0 25 ميكرومتر فيليه مرحبا لو التفتيش ميرور 7pk
Terrans Force S5 Ms 16l11 Ver 1 0 Bios Alisaler Com
05 06 Toyota Highlander Fuel Filler Neck Trdshop Com
Boss Gt 3 Repair Manual
微星i7双十一性价比高品牌选购推荐 淘宝海外
Dc Jack For Msi Gf63 Thin 8rcs 8sc 9rc 9rcx 9sc Wp65 9th Ms 16r3 Ms 16r31 Power Connector Port
Ms6577 Ver Sale Us For Sale Ms6577 Ver Sale
Msi Gf63 Thin 9sc Ms 16r31 Bios Ec Alisaler Com
2
Download Schneider Electric Com Files P Doc Ref k
Msi Ms 16r3 Gf66 Gf63 Disassembly Laptop Charge Port Power Jack Repair Fix Taking Apart Tear Down Youtube
Dc Jack Cable For Msi Gp60 Cr61 Cx61 2m 2oc 2od 2pc 2pf 2qc 2qf Power Connector Port Replacement Repair Ms 16gd
Msi Gf63 9rcx Ms 16r3 I7 9750h 2 6ghz Motherboard Gtx 1050 Ti Ms 16r31 Ver 1 0 Ebay
Injectable Biologics For The Treatment Of Degenerative Disc Disease Springerlink
For Msi Gf63 Ms 16r3 Notebook Motherboard Ms 16r31 Cpu I5 9300h Gpu Gtx1650 Ddr4 100 Test Work Laptop Motherboard Aliexpress
For Msi Gf63 Ms 16r3 Notebook Motherboard Ms 16r31 Cpu I5 9300h Gpu Gtx1650 Ddr4 100 Test Work Laptop Motherboard Aliexpress
Ms16f11 Ms 16f11 Ver 1 0 For Msi Gx660r Gx660 Gt660 Gt663 Intel Motherboard 147 Picclick
Home East Construction
Application Note 24 A Simplified Test Set For Op Amp Eeweb
2


