Room For Rent Contract Philippines
Non Solicitation Agreement Template Get Free Sample
House Rental Lease Agreement Template Pdf Templates Jotform
Room Rental Agreement Template Get Free Sample
Uae How To Read Your Rental Contract Check These Details Before You Sign Living Housing Gulf News
Covid 19 You Can Terminate Your Rental Contract If You Lose Your Job Dubai Rental Dispute Centre Living Housing Gulf News
Rental Contract Sample Business Form Letter Template
CONTRACT OF LEASE This AGREEMENT, made and entered on this _____ day of _____ 0_ in Quezon City, Metro Manila, by and between The PHILIPPINE NUCLEAR RESEARCH INSTITUTE, DOST, a Government agency under Republic Act 67 as amended and organized under EQ 128 dated January 30, 1987 represented by its Director, and referred to as the LESSOR.
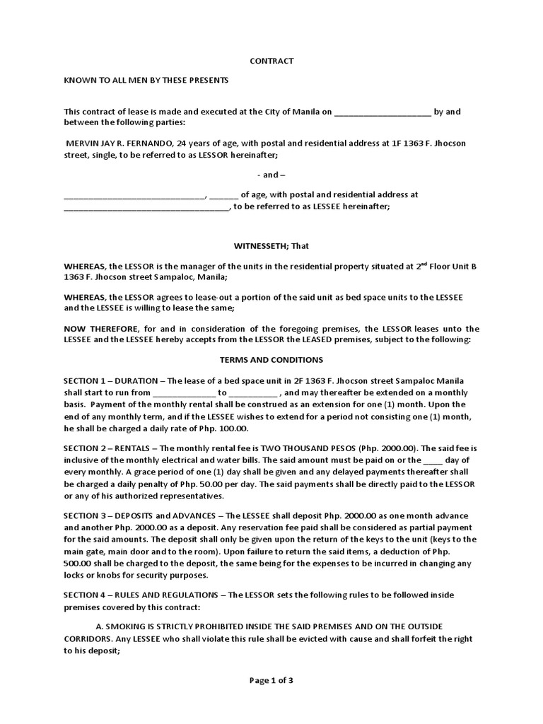
Room for rent contract philippines. Please revise the terms and conditions contained on this RenttoOwn Contract to reflect the parties actual terms and conditions RENT TO OWN CONTRACT This Contract of Lease with Option to Purchase (RenttoOwn Contract) made and executed this ____of _____ ___ Manila, Philippines by and between. This Room Rental Agreement is on a monthtomonth basis beginning on Tuesday, March 10, Either Party may terminate this Agreement with 30 days written notice personally delivered to the other Party The homeowner may terminate this Agreement with seven (7) days written notice (and a sevenday period to cure) if the Renter is in default. The Rental Reform Act of 02 (Republic Act No 9161) regulates rentals of residential units with rents not exceeding PHP7,500 (US$141) per month in cities, and PHP4,000 (US$75) per month in all other areas It expired in 04 but the provisions are generally still followed at the lower segment of the rental market.
Room Rental Agreement (MonthtoMonth) free download and preview, download free printable template samples in PDF, Word and Excel formats. Apartment Lease Contract Sample Philippines Contract of lease pdf lamudi contract template apartment al agreement 8 free contract for lease of parking slots residential lease agreement sample sublease contract template 9 word Printable Sample Simple Room Al Agreement Form Notice To Pay Germany Legal Templates Agreements. A room for rent in Makati is the best option if you don’t plan to stay here for long or if your budget doesn’t permit, you’ll be able to find one that suits your budget You’ll find a lot of great opportunities in Makati – there’s a lot of high paying jobs, it’s safer than other cities in the Metro, there’s a lot of great things.
– All residential units in the National Capital Region and other highly urbanized cities, the total monthly rent for each of which ranges from One peso (P100) to Ten thousand pesos (P10,) and all residential units in all other areas, the total monthly rent for each of which ranges from One peso (P100) to Five thousand pesos (P5,) as of the effectivity date of this Act shall be covered, without prejudice to existing contracts. Please revise the terms and conditions contained on this RenttoOwn Contract to reflect the parties actual terms and conditions RENT TO OWN CONTRACT This Contract of Lease with Option to Purchase (RenttoOwn Contract) made and executed this ____of _____ ___ Manila, Philippines by and between. Find Room For Rent For Filipino in Room Rentals & Roommates Find sublets, rooms for rent, and roommates in Toronto (GTA) Contract month to month basis only open for a shortterm or longterm contract References needed from the past landlord A credit check is not necessary (Philippines) Also Filipinos /$700 a month No couple Plus.
Residential Room For Rent Price 7,000 monthly 1 bedroom & 1 bathroom Floor area sqm Semi Furnished With aircon & Bed Free water No kitchen With parking area 2 months security deposit 1 month advance deposit 1 year contract For more info pls call this number Smart Sun Land line Read more See to. Philippines' Largest Rental Database FREE To Post!. A ) 5K ROOM for rent ladies only good for 2 persons Near Fatima Lagro Quezon City 1year Contract 1month advance 2 months deposit Total Contract Price Php 665, now price is already 695K Assume Price Php 115, CASH Provision to 1 bedroom Bathroom 1 Lot Area 36sqm.
Room for Rent in Batanes Philippines Batanes Philippines rooms for rent online real estate listing. Deemed part of this rental agreement, and a violation of any of the house rules is considered a breach of this agreement 16 CHANGE OF TERMS The terms and conditions of this agreement are subject to future change by OWNER after the expiration of the agreed lease period upon 30day written notice setting forth such change and delivered to. Room For Rent w/ 2 Rest Room near at SM Hypermarket, School, Hospital & Bank Address 36C Bobby Tuazon St Santol Sta Mesa Manila It is accessible via the V Mapa LRT Station and other modes of public transport Here, you are close to retail establishments, hospitals, and educational institutions such as PUP, CCP, and UERM.
CONTRACT OF LEASE This AGREEMENT, made and entered on this _____ day of _____ 0_ in Quezon City, Metro Manila, by and between The PHILIPPINE NUCLEAR RESEARCH INSTITUTE, DOST, a Government agency under Republic Act 67 as amended and organized under EQ 128 dated January 30, 1987 represented by its Director, and referred to as the LESSOR. A wellestablished Rental Agreement should clearly indicate the number of occupants allowed in one rental unit If it is a room, it may only be good for one or two tenants Your agreement should clearly indicate that the residents of the rental space are only those who have signed the contract. Condo Type building Room for rent in Pasay City Near Double Dragon and Moa, Solo Size room with own toilet and shower (iwas Covid) 8K/Month!.
This rental law in the Philippines covers housing units with a monthly rent of up to PHP 10,000 in Metro Manila and other highly urbanized cities nationwide Particularly, the following rental properties are covered by the Rent Control Act Apartments;. The limit on increase of rent amount The Rent Control Act of 09 (RA No 9653) states that the lessor or the landlord is not allowed to increase the rent more than seven (7) % annually if the unit is occupied by the same tenant The lessor is only allowed to change the rate for new tenants once the unit becomes vacant. A room rental agreement is a legally binding agreement between a tenant wanting to sublease, or rent, their room or apartment to another party It clearly outlines the expectations and responsibilities of both parties, and upon signing, imposes those specific duties and obligations on them.
Dot Property Philippines is an online property portal where thousands of property searches happen every day Start your search today for affordable property for rent in Philippines from 211 available listings Condominiums, houses, townhouses, villas, commercial space, and luxury properties are available for rent in Philippines Philippines’s properties for rent are either listed by private home owners or property agents such as. A room rental contract is a written commitment which is entered between the room owner and the tenant to hire or rent a room Such a contract is based on the payment terms, duties & responsibilities of the tenant and facilities offered by the room owner Sample Room Rental Contract Rental contract File Number 4 RN. Rent / Month Php40,000Minimum 1 Year Contract LeaseHouse Details Bungalow Type House4 Bedroom 4 Toilet and House 1114 Sarmiento St, Barangay Malabañas, Angeles, 09 Pampanga, Philippines.
A roommate agreement, also known as a ‘room rental agreement’, is a template used for the leasing of bedrooms in a housing unit while sharing communal areas such as the living room, kitchen, etcAll the individuals listed in the contract shall be liable to each other in regards to payments for rent, bills, services, and any other agreed upon charges. Find Room Rooms For Rent, Bedspaces, and Sublets in Metro Manila Philippines Publish Date 05/02/21 Mandaluyong, Metro Manila Prefer movein immediately, 6 month, Filipino, Employed, Single Female Studio AirConditioning, Wifi / Internet Access, Cooking Allowed, TV, Share Bathroom, Private Bathroom, Shower, Near MRT, Near Bus stop, 24. Good for solo occupant or 2 or couple additional fee for extra heads 1 Year leasing with own toilet and shower with aircon and water heater with loft bed Mattress is provided.
Welcome to Philippines' largest and No1 website for rooms, homestays, and short term rentals with over 1,000 listings posted online all across Philippines, Manila, Cebu, Davao City, Makati, Pasig, Quezon City, uig, and Valenzuela. Apartment Lease Contract Sample Philippines Contract of lease pdf lamudi contract template apartment al agreement 8 free contract for lease of parking slots residential lease agreement sample sublease contract template 9 word Printable Sample Simple Room Al Agreement Form Notice To Pay Germany Legal Templates Agreements. ROOM RENTAL AGREEMENT This is a legally binding agreement It is intended to promote household harmony by clarifying the expectations and responsibilities of the homeowner or Principal Tenant (Landlords) and Tenant when they share the same home The term “Landlord” refers to either homeowner or Principal Tenant.
Room rental agreement are different from other rental agreements as normally rental agreements are made for a long time but room rental agreements are made for the short span of time These agreements are usually made for renting the room for the single day, a week or a month for the vacation purpose or for organizing the event. All rental payments shall be payable to the LESSOR 4 DEPOSIT That the LESSEE shall deposit to the LESSOR upon signing of this contract and prior to movein an amount equivalent to the rent for THREE (3) MONTHS or the sum of PESOS AMOUNT IN WORDS (P 00,), Philippine Currency. Philippines Residential Rental/Lease A Residential Lease Agreement is used when a Landlord wishes to rent or lease property to a Tenant for residential and possibly homebased business purposes For example, this form would be used to rent out an apartment or basement suite.
Boarding houses, bedspaces, dormitories, and rooms for rent;. Room rental agreement are different from other rental agreements as normally rental agreements are made for a long time but room rental agreements are made for the short span of time These agreements are usually made for renting the room for the single day, a week or a month for the vacation purpose or for organizing the event. All rental payments shall be payable to the LESSOR 4 DEPOSIT That the LESSEE shall deposit to the LESSOR upon signing of this contract and prior to movein an amount equivalent to the rent for THREE (3) MONTHS or the sum of PESOS AMOUNT IN WORDS (P 00,), Philippine Currency wherein the two (2) months deposit shall be applied as rent.
Aug 18, 19 simple house rental contract sample philippines Google Search Explore Home Decor Storage And Organization Free Printable Saved from googlecom February 21 simple house rental contract sample philippines Google Search Saved by Rodes On The Road 384. A room rental agreement is a legally binding agreement between a tenant wanting to sublease, or rent, their room or apartment to another party It clearly outlines the expectations and responsibilities of both parties, and upon signing, imposes those specific duties and obligations on them. Simple Rental Lease Agreement Template If you are looking for a basic, standard or simple rental agreement in a Word document, there are many to choose from Most states vary by rental law but all of them abide by the fair housing act Below are a variety of basic rental agreements in Word you can.
Best Condos for Rent in the Philippines Browse our listings to find residential spaces for rent in Metro Manila Whether you want a room for rent in Quezon City, a condo for rent in Makati, a townhouse for rent in Mandaluyong, a house and lot for rent in Pasig, at Carousell Property, our wide variety of listings will surely help you find your. A Residential Lease Agreement is an agreement for one person (the Lessee) to rent the property of another (the Lessor) for residential purposes over a specific period of time A Residential Lease Agreement identifies basic information about the lease such as the property to be rented, the period of the lease, the security deposits, and the monthly rental payments. Find Room For Rent For Filipino in Room Rentals & Roommates Find sublets, rooms for rent, and roommates in Toronto (GTA) Contract month to month basis only open for a shortterm or longterm contract References needed from the past landlord A credit check is not necessary (Philippines) Also Filipinos /$700 a month No couple Plus.
AMAZING & VERY CHEAP SEMIFURNISHED MOUNTAIN VIEW 3 Storyhouse, 6 BR, Builtin Office, 35 Bath, 3 Balcony, Parking, Spacious Gym/Party/Gathering, Walkin Closet, Lanai, Garden, Bar, Monthly rent value of php150,000/mo only asking for php50,000/mo *Newly painted 3 story house with 6BR and 35 Bath *Living Room is high ceiling with Solid Wood Sala Set and 3 big Chandeliers *Dining room has 12. In the previous years, tenants are protected by Rent Control Act of 09, but this act has already expired on December 31, 15 Reading and understanding the elements of contracts are the tenant's and landlord's line of defense Vital Elements Of A Rental Contract • Responsible parties All tenants or lessees must be listed to ensure that. From January 1, 16 to December 31, 17, monthly rent up to PhP3,999 shall not increase by more than 4% per year Those renting out properties for a monthly rent of Php4,000 to Php10,000 shall not rise by more than 7% per year as long as the lease contract involve the same tenant.
Perfect for working from home There's even enough room to set up a small office corner 3 RENT RATE Only 3,800 Php a month!, allinclusive of city services SHORTTERM stay welcome LONGTERM stay preferred (Long term 1 month deposit advance Short term 350/pax/day, or 4k/mo paid on day 1 Beyond 1 month = long term) 4 THE SOLO ROOM. Aircon room for rent near ayalaClean, with Airconditioner, conveniently located room in Echavez St, Lorega San Miguel, Cebu City5 to 10 minutes by car or public transport to Ayala Business Park, 15 to minutes if you choose to walk it One month security deposit and one month advance rental required.
House Rental Lease Agreement Template Pdf Templates Jotform
Sample Lease Agreement Templates Free Download Edit And Sign
Free 8 Sample Room Rental Agreement Templates In Pdf Ms Word Google Docs Pages
Contract Of Lease In alog Sample Contracts
Free 8 Sample Memorandum Of Lease Agreement Templates In Pdf Ms Word
Contract Of Lease In alog Sample Contracts
Sample Letter To Increase Rent For Monthly Tenants
30 Sample Rent A Room Agreements In Pdf Ms Word
Home Rental Agreement Pdf And Word Sample Contracts
Contract Of Lease Pdf Lamudi
Room Rental Agreement Template
59 Printable Room Rental Agreement Forms And Templates Fillable Samples In Pdf Word To Download Pdffiller
Cancellation Of Lease Agreement Template Get Free Sample
House Rental Lease Agreement Template Pdf Templates Jotform
Property Management Proposal Template Get Free Sample
Free 8 Sample Room Rental Agreement Templates In Pdf Ms Word Google Docs Pages
30 Sample Rent A Room Agreements In Pdf Ms Word
Q Tbn And9gct3gxjap7km4x1i9yaruhxmu69hd4e42f1hz7lmlpug2nafpp Usqp Cau
Uae How To Read Your Rental Contract Check These Details Before You Sign Living Housing Gulf News
Free 8 Sample Room Rental Agreement Templates In Pdf Ms Word Google Docs Pages
17 Short Term Rental Agreement Templates Pdf Doc Free Premium Templates
House Rental Lease Agreement Template Pdf Templates Jotform
Vacation Rental Short Term Lease Agreement Create Download
House Rental Lease Agreement Template Pdf Templates Jotform
Condo Studio Room For Rent Property Rentals Room Rentals On Carousell
Room Rental Agreement Templates Agreement Sample Templates
Early Lease Termination Letter Pdf Templates Jotform
Free 8 Sample Room Rental Agreement Templates In Pdf Ms Word Google Docs Pages
Free 8 Sample Memorandum Of Lease Agreement Templates In Pdf Ms Word
Warehouse Lease Agreement Doc Templates Sample Contracts
30 Sample Rent A Room Agreements In Pdf Ms Word
Ex 4 37
59 Printable Room Rental Agreement Forms And Templates Fillable Samples In Pdf Word To Download Pdffiller
A Foolproof Tenancy Contract Property Gulf News
9 Simple Tenancy Agreement Templates Pdf Free Premium Templates
9 Simple Tenancy Agreement Templates Pdf Free Premium Templates
Bedspace Contract Lease Private Law
30 Sample Rent A Room Agreements In Pdf Ms Word
Standard Form Novation Agreement Free To Print In Doc And Pdf Sample Contracts
Short Term Vacation Lease Agreement Eforms
House Rental Lease Agreement Template Pdf Templates Jotform
30 Sample Rent A Room Agreements In Pdf Ms Word
Know Your Rights What Happens If You Want To Terminate Your Contract Early Propertyfinder Ae Blog
Q Tbn And9gctc58wq 2qq2rjuorxrekczhwmthvkuy0inzy Cbrtoaljz Uy Usqp Cau
Pin On Simples Contracts For Download
3
36 Best Lease Renewal Letters Forms Word Pdf ᐅ Templatelab
House Rental Contract Sample In alog Sample Contracts
Covid 19 You Can Terminate Your Rental Contract If You Lose Your Job Dubai Rental Dispute Centre Living Housing Gulf News
Free 8 Sample Room Rental Agreement Templates In Pdf Ms Word Google Docs Pages
Bedspace Contract Lease Common Law
Room Rental Agreement Templates Agreement Sample Templates
Template Weekly Rental Agreement Template Short Term Vacation Rental Agreement Template Vacation Rental Agreement Template Short Term Rental Agreement Template Short Term Tenancy Agreement Template Weekly Rental Agreement Template
Examples Hair Salon Booth Rental Agreement Sample Contracts
House Rental Contract Free To Print Doc And Pdf Sample Contracts
Uae I Terminated My Contract Early Will I Get My Cheques Back Or Have To Pay A Penalty Living Housing Gulf News
Studio Rental Agreement Template Pdf Templates Jotform
House Rental Lease Agreement Template Pdf Templates Jotform
Land Lease Agreement Print Download Legal Templates
Covid 19 Lost Your Job There Are The Options With Your Rental Contract In The Uae Living Housing Gulf News
Contract Of Lease alog In Doc Rental Agreement Templates Lease Agreement Free Printable alog
Sample Lease Agreement Templates Free Download Edit And Sign
Residential Rental Lease Philippines Legal Templates Agreements Contracts And Forms
House Rental Contract Free To Print Doc And Pdf Sample Contracts
How To Negotiate The Best Office Lease For Your Startup
Short Term Lease Agreement Template Word Pdf
Sample Authorization Letter To Act On Behalf Sample Contracts
Covid 19 You Can Terminate Your Rental Contract If You Lose Your Job Dubai Rental Dispute Centre Living Housing Gulf News
Equipment Rental Agreement Template Pdf Templates Jotform
Free 8 Sample Memorandum Of Lease Agreement Templates In Pdf Ms Word
Hotel Room Rental Contract Sample Vincegray14
Simple House Rental Contract Philippines Templates In Pdf And Doc House Rental Rental Agreement Templates Room Rental Agreement
Free 10 Condominium Lease Agreement Forms In Pdf Ms Word
How To Write A Business Letter Of Intent To Rent Or Lease A Space
Simple One Page Lease Agreement Template Pdf Templates Jotform
9 Simple Tenancy Agreement Templates Pdf Free Premium Templates
Room Rental Agreement Template Get Free Sample
House Rental Contract Sample In alog Sample Contracts
Free Office Space Lease Agreement Word Pdf Eforms
Building Rental Agreement Template
Simple House Rental Contract Sample Philippines Google Search Room Rental Agreement Rental Agreement Templates Lease Agreement
Philippines Sublease Contract Templates At Allbusinesstemplates Com
Q Tbn And9gct3gxjap7km4x1i9yaruhxmu69hd4e42f1hz7lmlpug2nafpp Usqp Cau
Furnished Room Sublease Contract Sample Templates At Allbusinesstemplates Com
26 Free Commercial Lease Agreement Templates ᐅ Templatelab
Covid 19 You Can Terminate Your Rental Contract If You Lose Your Job Dubai Rental Dispute Centre Living Housing Gulf News
Rent Contract Attestation Goes Online In Sharjah News Khaleej Times
Renting An Apartment In The Uae Everything You Need Living Housing Gulf News
30 Sample Rent A Room Agreements In Pdf Ms Word
45 Sample Rental Agreements In Pdf Ms Word
Rent To Own Contract Doc And Pdf Forms Examples Sample Contracts
House Rental Contract Sample In alog House Rental Rental Agreement Templates Room Rental Agreement
Room For Rent In Metro Manila Lamudi
59 Printable Room Rental Agreement Forms And Templates Fillable Samples In Pdf Word To Download Pdffiller
Simple House Rental Contract Philippines House Rental Rental Agreement Templates Room Rental Agreement
Room Rental Agreement Form Create A Free Room Rental Agreement
Sample Of Contract Of Lease alog Version Lease Agreement Free Printable Rental Agreement Templates Lease Agreement Landlord
Guide To Residential Tenancy Law In The Philippines


