A2b2+b2c2+c2a2 Formula
Proof Of Heron S Formula 1 Of 2 Video Khan Academy
Find The Value Of A 3 B 3 C 3 3abc If 1 A B C 8 Ab Ca 19 2 A B C 5 A 2 B 2 C 2 1 Youtube
Q Tbn And9gcq5dvgg791m8hbcfgyvha2uviabs3uxda9pk5gpq7fy3qk 8 Mr Usqp Cau
If A B C 0 Then A 2 B C B 2 C A C 2 A B A 0 B 1 C 1 D 3 Youtube
Using The Properties Of Determinants Evaluate A B C 2a 2a 2b B C A 2b 2c 2c C A B Sarthaks Econnect Largest Online Education Community
Problem If A B C 0 Then Prove That B4 C4 2 B2 C2 Jsunil Tutorial Cbse Maths Science
535 Let U, V, W be points on the lines containing the sides BC, CA and AB of a triangle ABC, respectivelyProve that the perpendiculars drawn to the sides at U, V, and W are concurrent if and only if AW 2 BU 2 CV 2 =AV 2 CU 2 BW 2 (3 points) Solution Let us first investigate the case when the three lines all intersect at the point P, and let us introduce the quantity s=UP 2 VP 2.
A2b2+b2c2+c2a2 formula. How is vsepr used to classify molecules?. A and b are the other two sides ;. Stack Exchange network consists of 176 Q&A communities including Stack Overflow, the largest, most trusted online community for developers to learn, share their knowledge, and build their careers Visit Stack Exchange.
Since both terms are perfect squares, factor using the difference of squares formula, where and The complete solution is the result of both the positive and negative portions of the solution. Chứng minh (abbcca)^2 =a^2b^2b^2c^2c^2a^2 biết abc=0 Cho abc=0Chứng minh rằng (abbcca) 2 =a 2 b 2 b 2 c 2 c 2 a 2 Theo dõi Vi phạm YOMEDIA Toán 8 Bài 5 Trắc nghiệm Toán 8 Bài 5 Giải bài tập Toán 8 Bài 5 Trả lời (1). Definition The longest side of the triangle is called the "hypotenuse", so the formal definition is.
\(\left(abbcac\right)^2=a^2b^2b^2c^2c^2a^2\\ \Leftrightarrow a^2b^2b^2c^2a^2c^22\left(ab^2cabc^2a^2bc\right)=a^2b^2b^2c^2c^2a^2\\ \Leftrightarrow2\left(ab. Move everything to one side, and it becomes the task of proving the inequality a^2 (b^2 bc) b^2 (c^2 ca) c^2 (a^2 ab) >= 0 Let this equation be known as (1) Trivially, the inequality. 1 a^2(bc)b^2(ca)c^2(ab)2abc = a^2 b a^2c b^2 c ab^2c^2abc^22abc = a(b^2 2bcc^2) a^2 b a^2c b^2 c bc^2 = a(bc)^2 a^2(bc) bc(bc).
Equations Tiger Algebra gives you not only the answers, but also the complete step by step method for solving your equations a^3(b^2c^2)b^3(c^2a^2)c^3(a^2b^2) so that you understand better. As energy is proportional to intensity, putting given information in this formula noting that 90% is absorbed so 10% remains which means I / I' = 010 =>01 = e ^ ( 800 x ), where x = thickness in cm. Thanks Apr 25, 16 #24 OmCheeto Gold Member 2,143 2,597 mgkii said.
(a^4 b^4 c^4) = (a^2 b^2 c^2)^2 2(a^2b^2 a^2c^2 b^2c^2) Then, substituting from equation (2), we have (4) (a^4 b^4 c^4) = 4 2(a^2b^2 a^2c^2 b^2c^2) Now, to get a numerical value for (a^4 b^4 c^4), we need to evaluate the expression (a^2b^2 a^2c^2 b^2c^2). The answer is simple, to solve for a you have to find out what c and b are Here is an example, 4 is b and 5 is c, so what is a you ask, a is 3 and the reason is because when you do c * c also known as 5*5 you get 25 and 25 b * b also known as 25 4*4 you get 25 16 = 9 so a*a also known as 3*3 would leave you with a=3. What is the lewis structure for hcn?.
The Pythagorean Theorem is used for triangles that are correct this signifies that between the perimeters must be ninety ranges The Pythagorean Theorem states that a^2 b^2 = c^2 this signifies that once the triangle is ideal, that 2 of the perimeters are equivalent to the hypotenuse. Answer abbcca=0 squaring both side (abbcca)^2=0 a^2b^2b^2c^2c^2a^22a^2bc2ab^2c2abc^2=0 a^2b^2b^2c^2c^2a^22abc (abc)=0 a^2b^2b^2c^2c^2a^2=2abc (abc) hence proved klondikegj and 5 more users found this answer helpful. Formula Proof (abc)^2 = a^2b^2c^22ab2bc2ca (abc) Whole Square (abc)2 Algebra Formulas in this video, you can learn how to proof (abc) Whole.
Check \( a^2 – b^2 \) formula in Video Summary \( a^2 – b^2 \) If you have any issues in the \( a^2 – b^2 \) formulas, please let me know through social media and mail \( a^2 – b^2 \) is the most important algebra maths formulas for class 6 to 12. Free PreAlgebra, Algebra, Trigonometry, Calculus, Geometry, Statistics and Chemistry calculators stepbystep. Since both terms are perfect squares, factor using the difference of squares formula, where and The complete solution is the result of both the positive and negative portions of the solution.
Solve your math problems using our free math solver with stepbystep solutions Our math solver supports basic math, prealgebra, algebra, trigonometry, calculus and more. We answer the question whether for any square matrices A and B we have (AB)(AB)=A^2B^2 like numbers We actually give a counter example for the statement. Para alunos, biografias históricas, exercícios de múltipla escolha,.
It is called "Pythagoras' Theorem" and can be written in one short equation a 2 b 2 = c 2 Note c is the longest side of the triangle;. Parade will be the 1st prominent public event amid Covid19. We also know that $(a^2b^2c^2)^2=a^4b^4c^42(a^2b^2b^2c^2c^2a^2)$ Thus, (vii) can be rewritten into the following elegant formula for the area of a triangle in terms of the sides Thus, (vii) can be rewritten into the following elegant formula for the area of a triangle in terms of the sides.
A^2=b^2c^22bcCosA a^2b^2c^2=2bcCosA CosA = (a^2b^2c^2)/ (2bc) You could take that further by saying CosA = (05) (a^2/. Free PreAlgebra, Algebra, Trigonometry, Calculus, Geometry, Statistics and Chemistry calculators stepbystep. You have proved the wrong one The title says like you will prove that a4 b4 c4 = 2(a2b2c2) but in solution it is being proved that a4 b4 c4 = 2(a2b2b2c2c2a2).
$\frac{A_1B_1}{A_2B_2}=\frac{A_1C_1}{A_2C_2}=\frac{B_1C_1}{B_2C_2}$ 3 The ratio of the length of two sides of one triangle to the corresponding sides in the other triangle is the same and the angles between these sides are equal ie $\frac{B_1A_1}{B_2A_2}=\frac{A_1C_1}{A_2C_2}$ and $\angle A_1 = \angle A_2$ or. Consider, a 2 b 2 c 2 – ab – bc – ca = 0 Multiply both sides with 2, we get 2( a 2 b 2 c 2 – ab – bc – ca) = 0 ⇒ 2a 2 2b 2 2c 2 – 2ab – 2bc – 2ca = 0 ⇒ (a 2 – 2ab b 2) (b 2 – 2bc c 2) (c 2 – 2ca a 2) = 0 ⇒ (a –b) 2 (b – c) 2 (c – a) 2 = 0 Since the sum of square is zero then each term should be zero ⇒ (a –b) 2 = 0, (b – c) 2. All equations of the form ax^{2}bxc=0 can be solved using the quadratic formula \frac{b±\sqrt{b^{2}4ac}}{2a} The quadratic formula gives two solutions, one when ± is addition and one when it is subtraction.
#a^(21)b^2c^2 a^2b^(21)c^2 a^2b^2c^(21)# #a^3b^2c^2 a^2b^3c^2 a^2b^2c^3# Answer link Related questions How do I determine the molecular shape of a molecule?. Stack Exchange network consists of 176 Q&A communities including Stack Overflow, the largest, most trusted online community for developers to learn, share their knowledge, and build their careers Visit Stack Exchange. Clearly, we can see that RHS is even number Thus, LHS must be even Either all matha, b, c/math are even or exactly 1 of them is even Case 1 All matha, b, c/math are even LHS is a multiple of 16 Thus, RHS must be multiple of 16 mat.
Doubtnut wishes all the students and parents a Happy 72nd Republic day 21!. In a triangle ABC, a^4b^4c^4 = 2 (a^2b^2b^2c^2c^2a^2), Find angle BAC?. Disclaimer The questions posted on the site are solely user generated, Doubtnut has no ownership or control over the nature and content of those questions.
Do you mean get cos a one one side of the equation, by itself?. $\to (a^2bb^2cc^2a)2(ab^2bc^2ca^2)\leq (a^2b^2c^2)^2$ (2) Từ (1) và (2) $\to F\geq 1$ donghaidhtt , BlackSelena , nthoangcute và 1 người khác yêu thích. You can put this solution on YOUR website!.
What is the lewis structure for co2?. The formula again a2 = b2 c2 2 b c cos(A) 2= squared (It's the cosine rule one) Update 2 apart from the 2bc bit where it's just 2 times b times c Answer Save 7 Answers Relevance Arthur Lv 6 1 decade ago Favourite answer Do you mean get cos a one one side of the equation, by itself?. Step 1 a 2 b 2 2bc c 2 Simplify —————————————————— 2 Equation at the end of step 1 (a 2b 2 2bcc 2.
Welcome to Sarthaks eConnect A unique platform where students can interact with teachers/experts/students to get solutions to their queries Students (upto class 102) preparing for All Government Exams, CBSE Board Exam, ICSE Board Exam, State Board Exam, JEE (MainsAdvance) and NEET can ask questions from any subject and get quick answers by subject teachers/ experts/mentors/students. (abbcca)^2 = a^2b^2 c^2a^2 b^2c^2 2abc(abc) These 3 facts are the groundwork (and took me a while to work out, but note the pleasing symmetry to them all) and will allow you to, after a bit of "changing the subject", to equate to your initial conditions abc=0 and a^2b^2c^2=1. If abc = 0 then prove that a^4b^4c^4=2×(b^2c^2c^2a^2a^2b^2) 1 See answer Ridhima0709 is waiting for your help Add your answer and earn points Brainly User Brainly User 2Write the chemical name and chemical formula of the salt used to removepermanent hardness of water1.
I also used the quadratic formula, but it gives solutions for a that includes factors of b How did you move to simple factors?. Answer Save 1 Answer Relevance billrussell42 Lv 7 4 months ago guessing, A,B,C are the angles, and a,b,c are the sides, and angle BAC is angle A ?. Click here👆to get an answer to your question ️ Prove that a^2b^2 b^2c^2 c^2a^2 ≥ abc(a b c).
ML Aggarwal solutions for Understanding ICSE Mathematics Class 10 Solved chapter 7 (Ratio and Proportion) include all questions with solution and detail explanation This will clear students doubts about any question and improve application skills while preparing for board exams The detailed, stepbystep solutions will help you understand the concepts better and clear your confusions, if any. An Inequality for the Cevians through Spieker Point via Brocard Angle $(a^2b^2b^2c^2c^2a^2 ≥ 2s(AC'\cdot BA'\cdot CB' AB'\cdot BC'\cdot CA'))$ Hung Nguyen Viet's Inequality with Radicals and Chebyshev $\left(\displaystyle\sum_{cycl}(a\sqrt{bc})\sin\frac{A}{2}\ge 0\right)$. Step 1 a 2 b 2 2bc c 2 Simplify —————————————————— 2 Equation at the end of step 1 (a 2b 2 2bcc 2.
A edição svpearsoncombr O site de apoio do livro oferece, para professores, manual de soluções (em inglês), apresentações em PowerPoint e resolução dos exercícios avançados;. Adding like terms, the final formula (worth remembering) is (a b c) 2 = a 2 b 2 c 2 2ab 2bc 2ac Practice Exercise for Algebra Module on Expansion of (a b c) 2. 3a 2b = c subtract the 3a 2b = c 3a divide the 2 b = c 3a/2 (the 2 is under c3a) So from the looks of it, the third one.
(a^2)(b^2) = (ab)(ab) Let's keep it simple and prove RHS = LHS On expanding RHS, (ab)(ab) = (a^2 ab) ( bab^2) = a^2ababb^2 =a^2b^2 = LHS Proved.
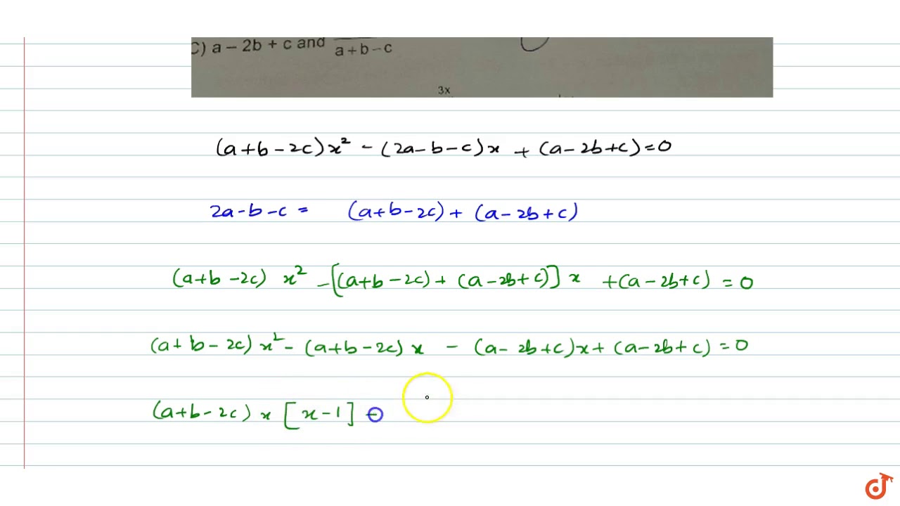
The Roots Of The Quadratic Equation A B 2c X2 2a B C X A 2b C 0 Are 1 A B
Expand The Following A 2b 3c 2 Polynomials Maths Class 9
Subtract The Sum Of 2a 3b A 2b C A 2c And 4a 2b 5 From 6a 4b 8 Brainly In
Heron S Formula Wikipedia
Prove That The Equation A B C X 2 B C A X C A B 0 And A B 2c X 2 B C 2a X C A 2b 0 Has Distinct Real Roots Math Meritnation Com
Example 5 Find Values Of A B C D 2a B A 2b Examples
What Is The Value Of Math Frac A 2 2a 2 Frac B 2 2b 2 Ca Frac C 2 2c 2 Ab Math If A B C Are Such That Math A B C 0 Math Quora
The Roots Of The Quadratic Equation A B 2c X 2 2a B C X
Example 30 If A B C Are Positive Unequal Show Determinant
If A B C Are In G P Prove That 1 A B 2 C 2 C A 2 B 2
If A B C 180 Prove That Cos 2a Cos 2b Cos 2c 1 Cosacosbcosc Brainly In
If Sec Theta Tan Theta 1 Then Root Of The Equation A 2b C X
How To Factorise Math 2b 2c 2 2c 2a 2 2a 2b 2 A 4 B 4 C 4 Math Quora
Solved 0 X Y Find The Determinant Of The Matrix 0 As A Fo Chegg Com
Djzerod None Of Theseif Sec 0 Tane 1 Then Root Of The Equati
Expand And Simplify Trinomial Square A B C 2 A 2 B 2 C 2 2ab 2ac 2bc Youtube
48 If A B C Are Distinct Rational Numbers Then Roots Of Equation N B C 2 A X 2
Rd Sharma Solutions For Class 8 Chapter 7 Factorization Download Free Pdf
Example 29 Three Vectors Satisfy A B C 0 Find A B B C C A
If The Roots Of The Equation B C X 2 C A X A B 0are Equal Then Prove That 2b A C Brainly In
If The Roots Of The Equation A B X 2 B C X C A 0 Then Prove That 2a B C Brainly In
If A B C 0 Then Find B4 C4 b2 B2c2 C2a2 Brainly In
How To Prove Math A 2 B 2 C 2 Ab Ca Math Is Non Negative For All Values Of Math A B Math And Math C Quora
If The Roots Of The Equation B C X2 C A X A B 0 Are Equal Then Prove That 2b A C Studyrankersonline
Part A A B 2c Dh1 1 2a 1 2b C Dh2 Express Your Answer In Terms Of Dh1 Dh2 Submitmy Answersgive Up Homeworklib
9x2 9 A B X 2a2 2b2 5ab 0 And Ad2x Ax B 2c D C2b 0 Pls Solve Math Quadratic Equations Meritnation Com
Www Topperlearning Com Answer In A Reaction A 2b 2c 2 Mole Of A 3 Moles Of B And 2 Moles Of C Are Placed In A 2l Flask And The Equilibrium Concentration Of C Is 05 Mole L The Equil 2km
Expand The Following 4a B 2c 2 Studyrankersonline
Jee Mains 18 The Roots Of The Quadratic Equation A B 2c X 2 2a B C X A 2b C 0 Are Youtube
In A Triangle Abc If A Cos 2c 2 Cos 2a 2 3b 2 Then A B C Are In Brainly In
If Sec Theta Tan Theta 1 Then Root Of The Equation A 2b C X 2
Begin Array L Text If Sec Theta Tan Theta 1 Text Then Root Of The Equation A 2 B
Prove That The Determinant Is A B B C C A A 2 B 2 C 2 Mathematics Stack Exchange
If B2 C2 Ab Ca 0 Prove That A B C Polynomials Maths Class 9
In A Triangle Abc Prove That B Cos 2c 2 C Cos 2b 2 S Brainly In
Prove That The Determinant Is A B B C C A A 2 B 2 C 2 Mathematics Stack Exchange
Consider The Equation Kx 2 2x C 2x 2 B For The Equation To Be Quadratic Which Of These Cannot Be The Value Of K Math Quadratic Equations Meritnation Com
How To Prove That Math A 2 B 2 C 2 D 2 Ad 2 Ac 2 Quora
If Math A B C 0 A 2 B 2 C 2 6 Math What Will Be The Value Of Math A 4 B 4 C 4 Math Quora
Example Expand 4a 2b 3c 2 Chapter 2 Class 9 Examples
Rd Sharma Solutions For Class 7 Maths Chapter 7 Algebraic Expressions Download Free Pdf
Rd Sharma Solutions For Class 7 Maths Chapter 7 Algebraic Expressions Download Free Pdf
Q2 Ma Tri 19 Exercise If A B C T Then Prove That Sin C 2a Sin A 23 Math Trigonometric Functions Meritnation Com
What Is The Solution Of A B 2c X 2 2a B C X C A 2b 0 Quora
Quadratic Equation Session1 Ppt Video Online Download
How To Prove That Math Ab 2 A 2b 2 B 2c Ac 2 A 2c A B C Ab Ac 3abc Math Quora
A B C B C A C A B A B C Solution In Formula Brainly In
The Roots Of The Quadratic Equation A B 2c X2 2a B C X A 2b C 0 Are 1 A B
How To Prove Math A 2 B 2 C 2 Ab Ca Math Is Non Negative For All Values Of Math A B Math And Math C Quora
Kindly Solve It Please S Ifthe Roots Of The Quadratic Equation C A A B A C X B Ca A 0 Math Polynomials Meritnation Com
A 2b C X 2 B 2c A X C 2a B 0 If Sec Tan 0 1 Then Root
Example 10 Simplify A B 2a 3b C 2a 3b C Class 8
How To Prove That Math Ab 2 A 2b 2 B 2c Ac 2 A 2c A B C Ab Ac 3abc Math Quora
If A 2 B 2 C 2 1 Then Ab Ca Lies In The Interval Youtube
How To Factorise Math 2b 2c 2 2c 2a 2 2a 2b 2 A 4 B 4 C 4 Math Quora
Using Properties Of Determinants Prove That A 2 Ac C 2
Prove That B2 C2 Ab Ac Is Always Non Negative Polynomials Maths Class 9
If A B C Are In G P Prove That 1 A B 2 C 2 C A 2 B 2
If A B C Are In G P Prove That 1 A B 2 C 2 C A 2 B 2
Solve The Following Quadratic Equation 9x 2 9 A B X 2a 2 5ab 2b 2 0 Sarthaks Econnect Largest Online Education Community
Weitzenbock S Inequality Wikipedia
Example 5 Find Values Of A B C D 2a B A 2b Examples
Given 3a B 2c 3 A 3b 2c 1 How Do Find 2a C Quora
If The Roots Of The Equation A B C X 2 B C A X C A B 0 Are Equal Then Show That 2 B 1 A 1 C Youtube
1 The Roots Of The Quadratic Equation A B 2 C X
The Roots Of The Quadratic Equation A B 2c X 2 2a B C X
Prove That 2a 2b A B X 2b 2c B C X 2c 2a C A 1 Brainly In
C Are Positive Rational Numbers Such That A B C And The Quadratic
Ex 4 2 11 By Using Properties Of Determinants Show That I
If A B C Are In G P Prove That 1 A B 2 C 2 C A 2 B 2
If B2 C2 2 A 2b 2c 9 Then Find The Value Of A B C A 2 B 3 C 1 D None Of Brainly In
1 If A B C Are Rational Then The Roots Of Equation A 2b 3c X 2
How To Prove That Math Ab 2 A 2b 2 B 2c Ac 2 A 2c A B C Ab Ac 3abc Math Quora
How To Expand Using The Identity A B C 2 B2 C2 2ab 2bc 2ca Youtube
Q Tbn And9gcsxj6nch9jkvcgw2jprateqxk Fehjaprpo Txh0pvbjcp 2po Usqp Cau
If The Roots Of The Equation B C X 2 C A X A B 0 Are Equal Then How Can I Prove That 2b A C Quora
Important Questions For Class 10 Maths Chapter 4 Quadratic Equations Learn Cbse
Cbse 8 Math Cbse Factorization Ncert Solutions
Q Tbn And9gcrsvuubea2fyxbqdbdryxieweephs6lq6mbtcip97hxwvgag Ap Usqp Cau
If A B C 0 Then Prove That B C 2 3bc C A 2 3ca A B 2 3ab 1 Mathematics Topperlearning Com Sq6lgh
If Quadratic Equation 1 A 2 B 2x 2 2abcx C 2 M 2 0 In Which X Has Equal Roots Brainly In
Solve For X 1 2a B 2x 1 2a 1 B 1 2x Mathematics Topperlearning Com 1m1ppkww
Www Assignmentexpert Com Homework Answers Mathematics Answer 001 Pdf
If A B C Are In G P Prove That 1 A B 2 C 2 C A 2 B 2
Example 29 Three Vectors Satisfy A B C 0 Find A B B C C A
If A B C 180 Prove That Cos 2a Cos 2b Cos 2c 1 2cosacosbcoscdot Youtube
A B C D And Non Zero Number Such That D A B 2 D B C 2 0 And Roots Of The Equation A B C X 2 B C A X C A B 0 Are Real And Equal
A Cosb Cosc 2 B C Sin 2 A 2 Youtube
Prove That Sin 2a Sin 2b Sin 2c 2sina Cosb Cosc Quora
How To Prove That Math Ab 2 A 2b 2 B 2c Ac 2 A 2c A B C Ab Ac 3abc Math Quora
Using Properties Of Determinants Prove That A 2 Ac C 2
Search Q A 5e2 2bb 5e2 2bc 5e2 Formula Tbm Isch
If A C B Then The Roots Of The Equation A B 2x2 2 A B 2c X 1 0 Are
Factorize 3 A 2b 2 5 A 2b Youtube
If A B C Are Real And A 2 B 2 C 2 2 A B C 3 The Value Of 2a 3b 4c Is What Mathematics Topperlearning Com Wbihg8bb
Rd Sharma Solutions For Class 8 Chapter 6 Algebraic Expressions And Identities Download Free Pdf
Using Properties Of Determinants Prove That 1 B C B 2 C 2 1 C A C 2 A 2 1 A B A 2 B 2 A B B C C A
Prove That The Determinant Is A B B C C A A 2 B 2 C 2 Mathematics Stack Exchange


