A2+b2+c2 Ab Bc Ca0
I If A 2 B 2 C 2 And A B C 0 Find Ab Ac
If A B C 15 And Ab Be Ca 71 Then Find The Value Of B2 C2 Cbse Class 9 Maths Learn Cbse Forum
If The Quadratic Equation Ax2 Bx B2 C2 Ab Ac 0 Where A B Are Distinct Reals Has Imaginary Roots Then Options Given Below Please Answer In Detail
Productos Notables Problemas Resueltos
Proof A3 C3 3abc A B C B2 C2 Ab Ac By Make The Life Bright
Solved Q 4 Show That To A Bl A B C I A 0 C 0 Ii La Chegg Com
A^2b^2c^2abbcca&=& 0 \\ 2a^22b^22c^22ab2bc2ca &=& 0 \\ (a^22abb^2)(b^22bcc^2)(c^22aca^2) &=& 0 \\ (ab)^2(bc)^2(ca)^2=0 \end{eqnarray*} So, we have rewritten the equation as a sum of three squares that equals $0$ (Too bad we’re looking for complex and not real solutions!).
A2+b2+c2 ab bc ca0. If a^2b^2c^2abbcca=0 then prove that a=b=c a² b² c² = ab bc ca On multiplying both sides by “2”, it becomes 2 ( a² b² c² ) = 2 ( ab bc ca) 2a² 2b² 2c² = 2ab 2bc 2ca a² a² b² b² c² c² – 2ab – 2bc – 2ca = 0 a² b² – 2ab b² c² – 2bc c² a² – 2ca = 0. Ex 42, 8 By using properties of determinants, show that (i) 8(1&𝑎&𝑎2@1&𝑏&𝑏2@1&𝑐&𝑐2) = (a b) (b c)(c – a) Solving LHS 8(1&𝑎&𝑎2@1. Harsh Gohel , studied at Sardar Vallabhbhai National Institute of Technology, Surat Answered 4 years ago It's given that a^2b^2c^2–abbcac.
( a b c ) 2 = a 2 b 2 c 2 2( ab bc ca ) (1) Given that, a 2 b 2 c 2 = 50 and a b c = 12 We need to find ab bc ca Substitute the values of (a 2 b 2 c 2) and ( a b c ) in the identity (1), we have (12) 2 = 50 2( ab bc ca ) ⇒ 144 = 50 2( ab bc ca ) ⇒ 94 = 2( ab bc ca) ⇒ ab bc ca. Given that Now ,a 3 b 3 c 3 = 3abc ( abc )( a 2 b 2 c 2 ab bc ca ) 3abc = 3abc ( abc )( a 2 b 2 c 2 ab bc ca ) = 0 ∴ a² b² c² ab bc ca = 0 or a b c ≠ 0 Where , a = b = c. ⇒ a 2 b 2 c 2 2 x 23 = 81 ⇒ a 2 b 2 c 2 46 = 81 ⇒ a 2 b 2 c 2 = 81 – 46 = 35 Now, a 3 b 3 c 3 – 3 abc = (a b c) (a 2 b 2 c 2) – (ab bc ca) = 935 23 = 9 x 12= 108 (a) Question 23 Solution Question 24 The product (a b) (a – b) (a 2 – ab b 2) (a 2 ab b 2) is equal to (a) a 6 b 6.
RD Sharma solutions for Mathematics for Class 9 chapter 4 (Algebraic Identities) include all questions with solution and detail explanation This will clear students doubts about any question and improve application skills while preparing for board exams The detailed, stepbystep solutions will help you understand the concepts better and clear your confusions, if any. 16 ejercicios resueltos productos notables nivel preuniversitarioTeoría https//wwwyoutubecom/watch?v=Qjes17MQXac. Given a^2 b^2 c^2 = ab bc ca a^2 b^2 c^2 – ab – bc – ca = 0 Multiply both sides with 2, we get 2 ( a^2 b^2 c^2– ab – bc – ca) = 0 2a^2 2b^2 2c^2– 2ab – 2bc – 2ca = 0 (a^2– 2ab b^2) (b^2– 2bc c^2) (c^2– 2ca a^2) = 0 (a –b)^2 (b – c)^2 (c – a)^2= 0.
A^2 b^2 c^2 ab bc ca = 0 eqn (i) (a b)^2 = a^2 2ab b^2 (b c)^2 = b^2 2bc c^2 (c a)^2 = c^2 2ac a^2 adding (a^2 2ab b^2) (b^2 2bc c^2) (c^2 2ac a^2) 2a^2 2ab 2b^2 2bc 2c^2 2ac = 0 so we can divide both sides by 2 and we wind up with eqn (i) so (a b)^2 (b c)^2 (c a)^2 = 0 thus a. A^2 b^2 c^2 ab bc ca > 0, but only for numbers a, b and c that are greater than 0 and not imaginary, but real!. Harsh Gohel , studied at Sardar Vallabhbhai National Institute of Technology, Surat Answered 4 years ago It's given that a^2b^2c^2–abbcac.
Here we will express a^2 b^2 c^2 – ab – bc – ca as sum of squares If a, b, c are real numbers then (a – b)^2, (b – c)^2 and (c – a)^2 are positive as square of every real number is positive So, a^2 b^2 c^2 – ab – bc – ca is always positive. See the proof below If abc=0 Then, a=bc=(bc) Therefore, a^2bc=((bc))^2bc=(bc)^2bc =b^2c^22bcbc =b^2c^2bc b^2ca=b^2c((bc))=b^2c^2bc c^2ab=c^2. 1) Cho a,b,x,y là những số khác 0Biết rằng (a 2 b 2)(x 2 y 2)=(axby) 2 Hãy tìm hệ thức giữa 4 số a,b,x,y 2) Chứng minh các hằng đẳng thức sau a) (21)(2 2 1)(2 4 1)(2 8 1)(2 16 1)=2 321 b) 100 2 103 2 105 2 94 2 =101 2 98 2 96 2 107 2 3) Chứng minh rằng không có các số x;.
(abc)² = 12² a²b²c²2(abacbc) = 144 a²b²c² = 1442(47) = = 50. ( a^{2}b^{2}c^{2}a bb cc a=00 ) We know that ( a^{3}b^{3}c^{3}3 a b c=(abc)left(a^{2}b^{2}c^{2}a bb cc aright) ) From eq ( a^{3}b^{3}c^{3}3 a b c. This isn't a proof, but halfway there perhaps It is easy to see that a^2 b^2 c^2 ab bc ca > 0 for all numbers a, b and c less than 0 If a < 0 , b < 0 and c < 0, then all terms of.
A 2 b 2 c 2 ab bc ca = 0 iff a = b = c Subject Arithmetical Reasoning Verbal Reasoning Mental Ability Exam Prep AIEEE, Bank Exams, CAT Job Role Analyst, Bank Clerk, Bank PO Related Questions Q Present age of Ashok is twice the present age of Kishan After 7 years the Kishan’s age will be 4 times of the Kartik’s present. Find a 2 b 2 c 2 Related questions 2 votes 1 answer If a,b,c are all nonzero and a b c = 0, prove that a2/bc b2/ca c2/ab = 3 asked Sep 14, 18 in Class IX Maths by aditya23 (2,144 points) polynomials 0 votes 1 answer If a b c = 9 and ab bc ca = 15 find a2 b2 c2. 2 a^2 b^2 c^2 ab bc ca ≥ 0 2 1 (ab bc ca) ≥ 0 Therefore, 1 ≥ (ab bc ca) so, ur answer is 1/2, 1 Upvote 4 Reply Share This discussion on If a2 b2 c2 1, then ab bc ac lies in the intervala)b)c)d)Correct answer is option 'B'.
$\frac{a^2}{3}b^2c^2>abbcca$ I tried to use the general proof method $\frac{a^2}{3}b^2c^2abbcca>0$ Symbolically notation $\frac{a^2}{3}b^2c^2abbcca>0 \Rightarrow(xyz)^2>0$ But, after trying too much, I accepted the defeat. Find an answer to your question b2c2abbcca=0 prove that a=b=c tions1 Express the ratio 51 525 ml in the lowest terms1 If 5M = 3N, then M N is4. If a 2 b 2 c 2 ab bc ca = 0, then (a) a b = c (b) b c = a (c) c a = b (d) a = b = c.
If if a b c are all non zero and a b c 0 prove that a2 bc b2 ca c2 ab 3 Mathematics TopperLearningcom 2jnu5w66. A 2 b 2 c 2 = ab bc ca ⇒ a 2 b 2 c 2 – (ab bc ca) = 0 Hence, a 3 b 3 c 3 – 3abc = 0 Answer This Question;. Name Email Answer Sum of (13) Submit Other Questions 1 Given below are two quantities named A and B Based on the given information, you have to determine the relation between the two quantities You.
Find an answer to your question b2c2abbcca=0 prove that a=b=c tions1 Express the ratio 51 525 ml in the lowest terms1 If 5M = 3N, then M N is4. `∴ a^2 b^2 c^2 ab bc ca >= 0` hence `a^2 b^2 ab bc ca > 0` Hence `a^2 b^2 c^2 ab bc ca` is always nonnegative for all values of a, b and c. A 2 b 2 c 2 – ab – bc – ca = 0 Multiply both sides with 2, we get 2( a 2 b 2 c 2 – ab – bc – ca) = 0 ⇒ 2a 2.
If a^2b^2c^2=abbcca, then, (a^2b^2c^2) (abbcca) = 0, → (a^2 ab) (b^2 bc) (c^2 ca) = 0 → a(a b) b(b c) c(c a) = 0 (1);. A^2 b^2 c^2 ab bc ca > 0, but only for numbers a, b and c that are greater than 0 and not imaginary, but real!. If a 2 b 2 c 2 = 1, then ab bc ca lies in the interval –1, 2 Reply Please type your answer before submitting Submit Rahul if a^2b^2c^2=2 then ab bcac lines in them interval (A)1,2/3 (b)1/2,1 (C) 1,1/2 (D) 2,4 then which option correct Reply Surbhi A Reply Gvsmanisha (abc) 2.
A^2 b^2 c^2 ab bc ca = 0 eqn (i)(a b)^2 = a^2 2ab b^2(b c)^2 = b^2 2bc c^2(c a)^2 = c^2 2ac a^2adding(a^2 2ab b^2) (b^2 2bc c^2) (c^2 2ac a^2)2a^2 2ab 2b^2 2bc 2c^2 2ac = 0so we can divide both sides by 2 and we wind up with eqn (i)so(a b)^2 (b c)^2 (c a)^2 = 0thusa b = 0 or a = bb c = 0 or b = cc a = 0 or c = a. A^2b^2c^2abbcca&=& 0 \\ 2a^22b^22c^22ab2bc2ca &=& 0 \\ (a^22abb^2)(b^22bcc^2)(c^22aca^2) &=& 0 \\ (ab)^2(bc)^2(ca)^2=0 \end{eqnarray*} So, we have rewritten the equation as a sum of three squares that equals $0$ (Too bad we’re looking for complex and not real solutions!). Ta có a^2 b^2 c^2 = ab ac bc => a^2 b^2 c^2 ab bc ac = 0 => 2(a^2 b^2 c^2 abbcac) = = 0 => 2a^2 2b^2 2c^2 2ab 2bc 2ac = 0.
If a^2b^2c^2=abbcca, find (ca)/b Given a^2b^2c^2abbcca=0 Multiply both sides with 2, we get 2 (a^2 b^2 c^2 – ab – bc – ca) = 0 2a^2 2b^2 2c^2 – 2ab – 2bc – 2ca = 0 (a^2 – 2ab b^2) (b^2 – 2bc c^2) (c^2 – 2ca a^2) = 0 (a –b)^2 (b – c)^2 (c – a)^2 = 0. Given that Now ,a 3 b 3 c 3 = 3abc ( abc )( a 2 b 2 c 2 ab bc ca ) 3abc = 3abc ( abc )( a 2 b 2 c 2 ab bc ca ) = 0 ∴ a² b² c² ab bc ca = 0 or a b c ≠ 0. `∴ a^2 b^2 c^2 ab bc ca >= 0` hence `a^2 b^2 ab bc ca > 0` Hence `a^2 b^2 c^2 ab bc ca` is always nonnegative for all values of a, b and c.
Answer D 3 Justification a b c = 0 → a 3 b 3 c 3 = 3abca 3 / a bc b 3 / ab c c 3 / abc = 3 or a 2 / bc b 2 / a c c 2 / ab = 3 Tweet. Fraction Questions For SSC GD PDF SSC GD Constable Fractions Question paper with answers download PDF based on SSC GD exam previous papers 40 Very important Fractions questions for GD Constable Download SSC GD Important Questions PDF 1500 Must Solve Questions for SSC Exams (Question bank) Fraction Questions For SSC GD PDF/shortlinkQuestion 1 If ab=45, bc=67,. Get a free home demo of LearnNext Available for CBSE, ICSE and State Board syllabus Call our LearnNext Expert on 1800 419 1234 (tollfree) OR submit details below for a call back.
This isn't a proof, but halfway there perhaps It is easy to see that a^2. If a,b,c are all nonzero and a b c = 0, prove that a2/bc b2/ca c2/ab = 3. If a 2 b 2 c 2 abbcca=0 then prove that a=b=c Hello student, Please find the answer to your question below a² b² c² = ab bc ca Mult.
A 2 b 2 c 2 ab bc ca = 0 multiplying by 2 on both sides 2a 2 2b 2 2c 2 2ab 2bc 2ac = 0 a 2 a 2 b 2 b 2 c 2 c 2 2ab 2bc 2ac = 0 (a 2 b 22ab) (b 2 c 22bc) (a 2 c 22ac) = 0 (ab) 2 (bc) 2 (ac) 2 = 0 but, sum of positive quantities can be zero if and only if each quantity in that expression is zero so, (ab) 2 = 0, ab = 0 , a= b (bc) 2 = 0. Ex 42, 7 By using properties of determinants, show that 8(−a2&ab&ac@ba&−b2&bc@ca&cb&−c2) = 4a2b2c2 Solving LHS 8(−a2&ab&ac@ba&−b2&bc@ca&cb&−c2) Taking a common from R1, b common from R2 , c common from R3 = abc 8(−a&b&c@a&−b&c@a&b&−c) Taking a common from C1, b common from. If A B = 45 °, then find 2(1 )(1 tan) = ?(a) 2(b) 1(c) 0(d) 4 log 3 × log 4 = ?can we multiple log bas sab Nahi hai arey kya bolna hai bolo harshita she is my friend 24 11 సభ్యులు గల క్రికెట్లు జట్టు కెప్టెన్ వయసు 26 సంలువికెట్ కీపర్.
Quest 1 2 곱셈공식의 변형을 이용하여 여러가지 식의 값을 구하시오 하 네이버 블로그
By Using Properties Of Determinants Show That Asqrt2 Ab Ac Ba Bsqrt2 Ca Cb C 2 4asqrt2bsqrt2csqrt2 Mathematics Shaalaa Com
2
Cms Math Ca Concours Mocp 00 Sol Sep Pdf
Younesmath12maroc S Blog About Condition A B C Abc 4 Own
If B2 C2 Ab Ca 0 Then Prove That A B C Math Polynomials Meritnation Com
C 1 Let A B C Be The Sides Of A Triangle No Two Of Them Are Equal And A R If The Roots Of The Equation X 2 A B
If A B C 0 Then A 2 B C B 2 C A C 2 A B A 0 B 1 C 1 D 3 Youtube
Q Tbn And9gctffsuwllegbodlmoc6dmyqyir Djzm7vwtzshzjmf5m3wkeyz1 Usqp Cau
Positive Integers A B C A 2 A B B 2 C 2 Fun With Num3ers
If A 2 B C B 2 C A C 2 A B Are In Ap Show That Either A B C Are In Ap Or Ab Ca 0 Mathematics Topperlearning Com Aemrxhh
Quadratic Equations Home Assignment 2 Solutions Pdf Vidyamandir Classes Innovating For Your Success Solutions To Quadratic Equations Inequations U13 Course Hero
If You Are Given A B C Ab Ac 0 Then How Will You Show That A B C Quora
A B C 0 Prove B2 Ac C2 Ab 3 Brainly In
Using Properties Of Determinants Prove That B 2 C 2 A 2 Ac Ac C 2 Ac A 2 Ab B 2 Ab Ab Ab Ac 3 Sarthaks Econnect Largest Online Education Community
If A B C Are All Non Zero And A B C 0 Prove That B2 Ca C2 Ab 3 Studyrankersonline
S No 41 If A B C 6 And Ab Ca 1 1 Find The Scholr
Inequalities Marathon
2
If A B C Epsilon R And B2 C2 Ab Ca Then Ndash A A B Cb A B C 0c A B C Are Distinctd None Of Thesecorrect Answer Is Option
最新ab Ca ただぬりえ
Prove That 1 1 1 A 2 B 2 C 2 A 3 B 3 C 3 A B B C C A Ab Ca
If A 2 B 2 C 2 Ab Ca 0 A B C In R Then Find The Value O
ช วยด ให หน อยคะ Pantip
Example 29 Three Vectors Satisfy A B C 0 Find A B B C C A
If The Roots Of The Equation B C X2 C A X A B 0 Are Equal Then Prove That 2b A C Studyrankersonline
Use The Cauchy Schwarz Inequality To Prove That A 2 B 2 C 2 Ge Ab Ac For All Positive A B C Mathematics Stack Exchange
2
Algebra Olympiad Problems
如果a 2b 3c 12 且a2 B2 C2 Ab Ca 則a2 B2 C2的值是 信欣茗數學園地 隨意窩xuite日誌
2
Left Begin Array L Text If A 2 B Scholr
Example 30 If A B C Are Positive Unequal Show Determinant
Pdf 100 Inequalities Problems Amir Parvardi Academia Edu
B C X2 C A X A B 0 Then Show 2b A C Brainly In
Betrained In Rd Sharma 9 Mathematics Algebraic Identities Solution
If A 2 B 2 C 2 Ab Ca 0 A B C In R Then Find The Value O
A 2 B C B 2 C A C 2 A B を因数分解してください Yahoo 知恵袋
Files Askiitians Com Static Cbse Class 12 Chapter Test Math Vector Algebra Pdf
If Quadratic Equation Ax 2 Bx Ab Ca A 2 B 2 C 2 0 Youtube
Algebraic Identities Of Polynomials A Plus Topper
If Ab Ca 0 Find Value Of 1 1 B2 Ca 1 C2 Ab Math Polynomials Meritnation Com
23 If 2a 3 6 A O Then Ab Ca B 1 C 2 D None Of
Services Artofproblemsolving Com Download Php Id Yxr0ywnobwvudhmvmy8xlzqzzjfiytuzmtmznwi2ntiwowzlndriy2q0yjy5mwflmtexzju5lnbkzg Rn Vg9wawmgt2ygtmhvy25ob2mucgrm
A B 2
If The Quadratic Equation Alpha X 2 Beta X A 2 B 2 C 2 Ab Ca 0 Has Imaginary Roots Then Youtube
If B2 C2 Ab Ca 0 Prove That A B C Polynomials Maths Class 9
Younesmath12maroc S Blog About Condition A B C Abc 4 Own
If A B C 0 Then Find The Value Of A 2 B 2 Ca C 2 Ab Edurev Class 9 Question
Inequalities Marathon
567 t Hay Va Kho
Chứng Minh Rằng A B C Nếu Co Một Trong Cac điều Kiện Sau Toan Học Lớp 8 Bai Tập Toan Học Lớp 8 Giải Bai Tập
If B C B C C A C A A B A B Are In Ap Then Show That 1 B C 1 C A 1 A B Are In Ap Use Add Ab Ca A 2 B 2 C 2 To Each Term Mathematics Topperlearning Com M2cbrr
Previous Year Quant Questions For Ssc Tier 2 17
If A B C 0 Then Find The Value Of B2 Ca C2 Ab Polynomials Maths Class 9
Ab Ca Does Not Exceed Cc
Prove That A 2 A 2 Ab Ab B 2
If Nbsp Nbsp A Sup 2 Sup B Sup 2 Sup 4c Sup 2 Sup Ab 2bc 2ca Expansion Algebra
Using Properties Of Determinants Prove The Following A 2 A 2 B C 2 B 2 B 2 C A 2 Ca C 2 C 2 A B 2 Ab Sarthaks Econnect Largest Online Education Community
If A 1001 B 1002 C 1003 Then The Value Of Soilen
If A 2 B 2 C 2 250 And Ab Ca 3 Then Find A B C
If Math A B C 0 Math What Is The Value Of Math Frac B C 2 Frac C A 2 Ca Frac A B 2 Ab Math Quora
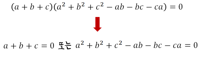
Misc 4 Show That Either A B C 0 Or A B C Miscellaneous
If A B C 0 Prove That B2 Ca C2 Ab 3 Brainly In
Important Formulas Geometric Shapes Euclidean Plane Geometry
Equation X 2 A B C X 32 Ab Ca 0 Are Real Math
If A 2 B 2 C 2 90 A B C Find The Value Of Ab Ca
Quadratic Equation Session1 Ppt Video Online Download
Cho B2 C2 Ab Ca Chứng Minh Rằng A B C Cho B2 C2 D2 1 A B C D Tinh Gia Trị Của Biểu Thức K A 1 5 2 B 1 5 3 C Hoc24
A B C A 2 B 2 C 2 Ab Ca Herunterladen
If A 24 B 26 C 28 Then The Value Of Ba Ca Ab Ac Will Be A 0 B 4 C 8 Or D 12
Cbse 10 Math Cbse Coordinate Geometry Ncert Solutions
A B C A 2 B 2 C 2 Ab Ca Herunterladen
If The Roots Of The Equation A B X 2 B C X C A 0 Then Prove That B C 2a
Prove That B C Cota 2 C A Cotb 2 A B Cotc 2 0 Homework Help Mycbseguide
Q Tbn And9gcsxj6nch9jkvcgw2jprateqxk Fehjaprpo Txh0pvbjcp 2po Usqp Cau
If Ab Ca 0 Then 1 A 2 1 B 2 Ac 1 C 2 Ab
Prove That The Determinant Is A B B C C A A 2 B 2 C 2 Mathematics Stack Exchange
Prove That Ca B2 Ab C2 Ca B2 Ab C2 Ab C2 Ca B2 Is Divisible By A B C And Find The Quotient Studyrankersonline
Giải Toan Tren Mạng Giup Toi Giải Toan Hỏi đap Thảo Luận Về Toan Học Học Trực Tuyến Olm
If B2 C2 Ab Ca 0 Prove That A Ca 0 Prove That A B C
Q Tbn And9gcqec9txeeexk0b70jqzbznryil Sgmg3nxynzeudmkdxynpmfcw Usqp Cau
Simplify A 2 B C 2 A C 2 B 2 B 2 A C 2 A B 2 C 2 C 2 A B 2 Youtube
If A B C 0 Then Prove That B C 2 3bc C A 2 3ca A B 2 3ab 1 Mathematics Topperlearning Com Sq6lgh
Ab Ca Does Not Exceed Cc
Prove That A 2 B 2 C 2 Ab Ca Is Always Non Negative For All Valuesof A B And C Brainly In
Q Tbn And9gcsxj6nch9jkvcgw2jprateqxk Fehjaprpo Txh0pvbjcp 2po Usqp Cau
Http Www Math Ucla Edu Sucharit 100 Hw2 Pdf
If B2 C2 Ab Ca 0 Prove That A B C Math Polynomials Meritnation Com
View Question Please Help
If A 2 B 2 C 2 Ab
Ab Ac 0 Find The Value Of 1 1 B2 Ca 1 C2 Ab 2 Is Sqaure Brainly In
If A 2 B 2 C 2 Ab Ca 0 A B C In R Then Find The Value O
Prove That B2 C2 Ab Ca Is Always None Negative For All The Values Of A B Math Polynomials Meritnation Com
Using Properties Of Determinants Prove The Following A 2 1 Ab Ac Ab B 2 1 Ca Cb C 2 1 1 A 2 B 2 C 2 Sarthaks Econnect Largest Online Education Community
Cho A B C 0 Va Ab Ca 3 Cmr A 2b 3 1 B 2c 3 1 C 2a 3 1 0 Toan Học Lớp
If A B C A B B C A C 40 Find A B C Quora
Solved 2 If A B C Are Three Real Numbers Show That Chegg Com


