A2 B2c2 D2 4abcd
A B C 0のとき Ab Cd Ac 4abcdを Yahoo 知恵袋
Given Math A B C D 0 Math How Do I Prove That Math Ab Cd Ac 4abcd Math Quora
6 Struggles Highly Intelligent People Have Psychology Says By Naddine Luci Age Of Awareness Jan 21 Medium
Sachbatdangthucrathay Phpapp01
Factorise B2 C2 D2 4abcd Brainly In
Pdf 100 Inequalities Problems Amir Parvardi Academia Edu
Prove that the equation x^2(a^2 b^2) 2x(ac bd) (c^2 d^2)= 0 has no real root, if ad ≠ bc asked Oct 14, in Quadratic Equations by Anika01 ( 571k points) quadratic equations.
A2 b2c2 d2 4abcd. It can’t be done since your equation is false For example, let a=c=e=2 and b=d=f =1 Then the right hand side is 6^2 = 36 And the left hand side is 3 12 = 15. Prove that the equation x^2(a^2 b^2) 2x(ac bd) (c^2 d^2)= 0 has no real root, if ad ≠ bc asked Oct 14, in Quadratic Equations by Anika01 ( 571k points) quadratic equations. To find the opposite of a^{2}b^{2}, find the opposite of each term 2bxa^{2}b^{2}=x^{2} Subtract x^{2} from both sides Anything subtracted from zero gives its negation 2bxb^{2}=x^{2}a^{2} Add a^{2} to both sides b^{2}2xb=a^{2}x^{2} Quadratic equations such as this one can be solved by completing the square In order to complete the.
To find the opposite of a^{2}b^{2}, find the opposite of each term 2bxa^{2}b^{2}=x^{2} Subtract x^{2} from both sides Anything subtracted from zero gives its negation 2bxb^{2}=x^{2}a^{2} Add a^{2} to both sides b^{2}2xb=a^{2}x^{2} Quadratic equations such as this one can be solved by completing the square In order to complete the. Therefore, A (a^2b^2)(c^2d^2)=(acbd)^2(adbc) is not a polynomial identity B (ab)^2=a^22abb^2 Let us expand left side of the identity, we get (ab)^2 = a^2 2ab b^2 We got left side a^2 2ab b^2 equals right side a^22abb^2 Therefore, B (ab)^2=a^22abb^2 is a polynomial identity C a^3b^3=(ab)(a^2abb^2). If a 2 b 2 = c 2, then the triangle is right If a 2 b 2 > c 2, then the triangle is acute If a 2 b 2 < c 2, then the triangle is obtuse Edsger W Dijkstra has stated this proposition about acute, right, and obtuse triangles in this language sgn(α β − γ) = sgn(a 2 b 2 − c 2),.
(2) 1 subject to the provisions of sub section (2) of section 64, any sum received by an individual as a member of a Hindu undivided family, where such sum has been paid out of the income of the family, or, in the case of any impartible estate, where such sum has been paid out of the income of the estate belonging to the family;. A 2 B 2 C 2 D 2 = (a 2 b 2 c 2 d 2) n though there is an easier method to be discussed later One can also solve the equation A 2 B 2 = (a 2 b 2) k by factoring over Ö1 to get, (ABi)(ABi) = (abi) k (abi) k Equating factors yields a system of two equations in two unknowns A,B which, being only linear, can then easily be solved for. Click here👆to get an answer to your question ️ If the equation (a^2 b^2)x^2 2(ac bd)x (c^2 d^2) = 0 has equal roots, then which one of the following is correct?.
(acbd)^2 (adac)^2 = (a^2 b^2)((c^2 d^2) Approved by eNotes Editorial Team We’ll help your grades soar Start your 48hour free trial and unlock all the summaries, Q&A, and analyses you. Click here👆to get an answer to your question ️ If a, b, c, d, e are positive real numbers, such that a b c d e = 8 and a^2 b^2 c^2 d^2 e^2 = 16. The given equation is (a 2 b 2)x 2 2 (ac bd)x (c 2 d 2) = 0 We know, D = b 2 − 4ac Thus, D=2(ac bd) 2 −4(a 2 b 2)(c 2 d 2) =4(a 2 c 2 b 2 d.
Unformatted Solutions Written by the problem authorsSee the external links at Mock AIME 2 10 Problem 1 There are 10 lemmings At each step, we may separate the lemmings into groups of 5 and purge the remainder, separate them into groups of 3 and purge the remainder, or pick one lemming and purge it. Prove that the equation x^2(a^2 b^2) 2x(ac bd) (c^2 d^2)= 0 has no real root, if ad ≠ bc asked Oct 14, in Quadratic Equations by Anika01 ( 571k points) quadratic equations. The only appropriate response I can think of is how to interpret the exponent Any parentheses raised to the nth power means you have to rewrite that expression n times and then multiply them all In this case the exponent is just 2, so we rewri.
Therefore (a^2 b^2)/(c^2 d^2) =b^2 / d^2 1 0 prr 5 years ago ab=cd 12=36 substituting values in eq gives 1/9 Which is possible only if ans is ab/cd 0 0 kkr 1 decade ago. If a 2 b 2 = c 2, then the triangle is right If a 2 b 2 > c 2, then the triangle is acute If a 2 b 2 < c 2, then the triangle is obtuse Edsger W Dijkstra has stated this proposition about acute, right, and obtuse triangles in this language sgn(α β − γ) = sgn(a 2 b 2 − c 2),. If xiy = sqrt(aib)/(cid) prove that (x^2 y^2)^2 = (a^2 b^2)/(c^2 d^2) asked Dec 27, 16 in Mathematics by Rohit Singh (643k points) complex number;.
A Pythagorean triple consists of three positive integers a, b, and c, such that a 2 b 2 = c 2Such a triple is commonly written (a, b, c), and a wellknown example is (3, 4, 5)If (a, b, c) is a Pythagorean triple, then so is (ka, kb, kc) for any positive integer kA primitive Pythagorean triple is one in which a, b and c are coprime (that is, they have no common divisor larger than 1). First simplify the two parts of the equation Simplify 2^(5/2) 2^(5/2) = 2^5 * 2^(1/2) 2^5 = 32 and 2^1/2=sqrt (sqrt means square root) now put these together to get sqrt(32). In the plane, any two points (a, c) and (b, d) may be joined by a segment, and this segment is a diagonal of a unique rectangle with edges parallel to the coordinate axesBecause the base of this rectangle has length a b and because the height of the rectangle is c d, the Pythagorean theorem tells us that the length of the diagonal is given by ((ab) 2 (cd) 2) 1/2.
(acbd)^2 (adac)^2 = (a^2 b^2)((c^2 d^2) Approved by eNotes Editorial Team We’ll help your grades soar Start your 48hour free trial and unlock all the summaries, Q&A, and analyses you. If xiy=√{(aib)/(cid)} , then prove that (x^2 y^2) = (a^2 b^2)/(c^2 d^2). Therefore, A (a^2b^2)(c^2d^2)=(acbd)^2(adbc) is not a polynomial identity B (ab)^2=a^22abb^2 Let us expand left side of the identity, we get (ab)^2 = a^2 2ab b^2 We got left side a^2 2ab b^2 equals right side a^22abb^2 Therefore, B (ab)^2=a^22abb^2 is a polynomial identity C a^3b^3=(ab)(a^2abb^2).
Show that det(1 1 1 1 a b c d a^2 b^2 c^2 d^2 a^3 b^3 c^3 d^3) = (a b)(a c)(a d) (b d) (c d) Show that if A^1 = A^T then det(A) = plusminus 1. Click here👆to get an answer to your question ️ If a, b, c, d, e are positive real numbers, such that a b c d e = 8 and a^2 b^2 c^2 d^2 e^2 = 16. Therefore (a^2 b^2)/(c^2 d^2) =b^2 / d^2 1 0 prr 5 years ago ab=cd 12=36 substituting values in eq gives 1/9 Which is possible only if ans is ab/cd 0 0 kkr 1 decade ago.
AM math\geq/math GM math\frac{a^2 b^2 c^2 d^2}{4} \geq (abcd)^{\frac{1}{4}}/math matha^2 b^2 c^2 d^2 \geq 4/math math\frac{ab ac ad bc. Therefore, A (a^2b^2)(c^2d^2)=(acbd)^2(adbc) is not a polynomial identity B (ab)^2=a^22abb^2 Let us expand left side of the identity, we get (ab)^2 = a^2 2ab b^2 We got left side a^2 2ab b^2 equals right side a^22abb^2 Therefore, B (ab)^2=a^22abb^2 is a polynomial identity C a^3b^3=(ab)(a^2abb^2). It can’t be done since your equation is false For example, let a=c=e=2 and b=d=f =1 Then the right hand side is 6^2 = 36 And the left hand side is 3 12 = 15.
If a 2 b 2 = c 2, then the triangle is right If a 2 b 2 > c 2, then the triangle is acute If a 2 b 2 < c 2, then the triangle is obtuse Edsger W Dijkstra has stated this proposition about acute, right, and obtuse triangles in this language sgn(α β − γ) = sgn(a 2 b 2 − c 2),. A^{2} b^{2} = c^{2} d^{2} = 1 /tex texac bd = 0 /tex The Attempt at a Solution Clearly, ac = bd I know the solution is 0, but I am having trouble proving or deriving it A few things to note (some may be useless, but this is an involved problem and I'm getting my hands dirty). Bd=c^2 }(1) and (2) dividing (1)/(2).
Prove that the equation x^2(a^2 b^2) 2x(ac bd) (c^2 d^2)= 0 has no real root, if ad ≠ bc asked Oct 14, in Quadratic Equations by Anika01 ( 571k points) quadratic equations. 1 subject to the. First simplify the two parts of the equation Simplify 2^(5/2) 2^(5/2) = 2^5 * 2^(1/2) 2^5 = 32 and 2^1/2=sqrt (sqrt means square root) now put these together to get sqrt(32).
The inequality $$\sqrt{a^2c^2}\sqrt{b^2d^2}\ge \\sqrt{\left(ab\right)^2\left(cd\right)^2}$$ But can someone help me with a nice elegant solution This is an olympiad question I was trying. If a 2 b 2 = c 2, then the triangle is right If a 2 b 2 > c 2, then the triangle is acute If a 2 b 2 < c 2, then the triangle is obtuse Edsger W Dijkstra has stated this proposition about acute, right, and obtuse triangles in this language sgn(α β − γ) = sgn(a 2 b 2 − c 2),. 0 votes 1 answer If (a ib)(c id){e if) (g ih) = A iB then show that (a^2 b^2)(c^2 d^2)(e^2 f^2) (g^2 h^2) = A^2 B^2 asked Jan 31, in Mathematics by Sarita01.
Unformatted Solutions Written by the problem authorsSee the external links at Mock AIME 2 10 Problem 1 There are 10 lemmings At each step, we may separate the lemmings into groups of 5 and purge the remainder, separate them into groups of 3 and purge the remainder, or pick one lemming and purge it. Therefore, A (a^2b^2)(c^2d^2)=(acbd)^2(adbc) is not a polynomial identity B (ab)^2=a^22abb^2 Let us expand left side of the identity, we get (ab)^2 = a^2 2ab b^2 We got left side a^2 2ab b^2 equals right side a^22abb^2 Therefore, B (ab)^2=a^22abb^2 is a polynomial identity C a^3b^3=(ab)(a^2abb^2). {a 2 b 2 c 2 d 2, a 2 c 2 b 2 d 2, a 2 d 2 b 2 c 2} {1abc, 1abd, 1acd, 1bcd}.
The only appropriate response I can think of is how to interpret the exponent Any parentheses raised to the nth power means you have to rewrite that expression n times and then multiply them all In this case the exponent is just 2, so we rewri.
16 One Of The Factors Of Left A 2 B
Bretschneider S Formula Wikipedia
A 2 B 2 C 2 D 2 4abcd Brainly In
B2 C2 D2 4abcd Brainly In
Bai 3 Cho A B C D E R Chứng Minh Rằng A B 2ab 1 An Dung Chứng Minh Cac Bất đảng Thức Sau A A B4 C D
2
Factorise The Following A B2 C2 D2 4abcd B 4x2 Y2 3xy Math Factorisation Meritnation Com
Math Physics Chemistry Questions Discussion Lists Dated 19 05 12
2
Honeywell Analytics Mpro 4abcd D Micromax Pro Gas Detector O2 Lel Co H2s Transcat
2
Pdf Comparison Of Chemical Color Stability And Phenolic Composition From Pericarp Of Nine Colored Corn Unique Varieties In A Beverage Model
A B C D 4abcd Factories It Brainly In
Characteristics Of Polynomial Functions
B2 C2 D2 4abcd Brainly In
Problem Set 2
Supertableaux Highest Weights And Dimensions For General Tensor Download Scientific Diagram
Left A 2 B 2 Right Left C 2 D 2 Right 4 A B C D N I Given Expression A C B D 2 B C A D 2
Left A 2 B 2 Right Left C 2 D 2 Right 4 A B C D N I Given Expression A C B D 2 B C A D 2
Spatial Variation In Soil 0 40 Cm Depth Properties Soil Organic C Download Table
Phan Tich đa Thức Sau Thanh Nhan Tử A 4abcd B2 C2 D2 2 4 Cd B2 Ab C2 D2 2b X2y2 Y X Y2z2 Z Y Z2x2 Z X
Www Shaalaa Com Question Bank Solutions Factorise The Following B2 C2 D2 4abcd Method Of Factorisation Difference Of Two Squares
Factorise A 2 B 2 C 2 2 4a 2b 2
Rrb 09 Mathematics
Factorize A 2 B 2 C 2 D 2 4abcd
Prove The Following A 2 Ac C 2 A 2 Ab B 2 Ac Ab B 2 C 2 4a 2b 2c 2 Sarthaks Econnect Largest Online Education Community
Level 1 Pre Rmo Basic Math Numbers Teaching Mathematics
One Of The Factor Of B2 C2 D2 4abcd Is Brainly In
Cho A 4 B 4 C 4 D 4 4abcd Chứng Minh A B C D Khong Sử Dụng Bđt Co Si Giải Bằng Nhiều Cach Nhất Co Thể Cau Hỏi Hoidap247 Com
Phan Tich đa Thức Sau Thanh Nhan Tử A 4abcd B2 C2 D2 2 4 Cd B2 Ab C2 D2 2b X2y2 Y X Y2z2 Z Y Z2x2 Z X
Nsejs 2 Fraction Mathematics Chess Theory
Http Www Yiminmathcentre Com Homework Year12 Year12 4unit Homework Harder 3unit Part3 Pdf
1 In A B C D Are Integers Then What 4 Digit Number A B C D Satisfies The Equation 4 Times A B C D D C B A
B2 C2 D2 4abcd What Are Factors For This Question Please Show Give Step By Step Thanks Pranish Math Meritnation Com
Solved Q2 Write A C Program Using A Dynamic Array Or Chegg Com
2
Following Series Follows A Pattern Find Out The Missing Term In The Series Which Will Follow The Pattern 1abcd 3bcda 2cdab 4abcd Soluchan
Factorize A 2 B 2 C 2 D 2 4abcd
One Of The Factor Of B2 C2 D2 4abcd Is Brainly In
Factorise A 2 B 2 C 2 2 4a 2b 2
Solved Note The Last Four Numbers Of Your Id Number 4ab Chegg Com
How To Prove That Math A 2 B 2 C 2 D 2 Ad 2 Ac 2 Quora
Phosphorus Uptake In Above Ground Biomass Of Maize As Influenced By Download Table
Ml Aggarwal Solutions For Class 9 Maths Chapter 4 Factorization Access Free Pdf
2
If B4 C4 D4 4abcd Then Prove That A B C D Now Can Anyone Please Please Solve It Brainly In
The Power Of Substitution Ii Proving An Inequality With Three Variables
Factorise B2 C2 D2 4abcd Brainly In
Hi Everyone How To This Problem Askmath
A 2 B 2 C 2 D 2 4abcd
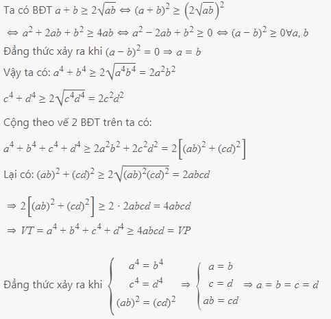
If A B C D Are Real Numbers Prove That A 4 B 4 C 4 D 4 4abcd Quora
Solved Item 2 Let A B C And D Be Non Negative Real Num Chegg Com
One Of The Factor Of B2 C2 D2 4abcd Is Brainly In
Toan 8 A 4 B 4 C 4 D 4 4abcd Va A B C D La Cac Số Dương Thi A B C D Cộng đồng Học Sinh Việt Nam Hocmai Forum
Chapter 5 Factorisation Frank Modern Certificate Solutions For Class 9 Mathematics Icse Topperlearning
If Math A 2 B 2 2 Math And Math C 2 D 2 1 Math Then The Value Of Math Ad 2 Ac 2 Math Is Equal To Quora
2
Factorise A 2 B 2 C 2 2 4a 2b 2
Ir A E Are Then A B 4 D 9 If P Qe 1 2
Crux Mathematicorum
A 2 B 2 C 2 B 2 4abcd Factorise Brainly In
Nice And Hard Inequalities Geometry Teaching Mathematics
2a2c2 2c 2 C2the Value Of B2i C Jis62a 6b 4abcd A B C2a A
Demostraciones Foro Fmat Cl
Begin Array C C 14 I A B 3 A B 15 Left A 2 B 2 Right Left C 2 D 2 Right 4 A B C D End Array T Quad I Given Expression A C B D 2
Acid And Quercetin Derivatives Extracted From Leaves Of Wild Download Scientific Diagram
One Of The Factors Of B2 C2 D2 4abcd Is Math Factorisation Meritnation Com
Dokazhite A 4 B 4 C 4 D 4 4abcd Shkolnye Znaniya Com
Anand Kumar Next Problem For You Thursdaymotivation Thursdayvibes Thursdaymorning Thursdaythrill Maths Mathematics Super30 T Co Vfyt09zlwy
Trapezoidal Distribution Openturns Documentation
Upload Wikimedia Org Wikipedia Commons 3 38 Permutation Polynomials And Complete Permutation Polynomials Over Fq3 Pdf
Chapter 5 Factorisation Frank Modern Certificate Solutions For Class 9 Mathematics Icse Topperlearning
Chapter 18 1 2b 3abc 4abcd 6abc 8abc 9a 5 Xc Ppt Download
A 2 B 2 C 2 D 2 4abcd
Bretschneider S Formula Wikipedia
Chapter 18 1 2b 3abc 4abcd 6abc 8abc 9a 5 Xc Ppt Download
Chứng Minh Bất đẳng Thức Sau A 2 4b 2 4c 2 4ab 4ac 8bc Toan Học Lớp 9 Bai Tập Toan Học Lớp 9 Giải Bai
We Have Math A B C D 6 Math And Math A 2 B 2 C 2 D 2 12 Math How Can One Prove That Math 36 4 A 3 B 3 C 3 D 3 A 4 B 4 C 4 D 4 Math Quora
A Tex A 2 B 2 C 2 D 2 4abcd Tex Brainly In
A 2 B 2 C 2 D 2 4abcd Brainly In
Answerr 13 14 15 16 A 2x5x112x17 B Lox 112 X 17 A 4abcd Is One Of Math Arithmetic Progressions Meritnation Com
Nice And Hard Inequalities Geometry Teaching Mathematics
第05讲恒等式的证明 初二奥数教材下载 Word模板 爱问共享资料
Cmr A 4 B 4 C 4 D 4 4abcd
A 2 B 2 C 2 D 2 4abcd Solution Youtube
If Math A 2 B 2 2 Math And Math C 2 D 2 1 Math Then The Value Of Math Ad 2 Ac 2 Math Is Equal To Quora
Sladjan Stankovik S Inequality With Constraint Ii
A 2 B 2 C 2 D 2 4abcd Brainly In
If Math A 2 B 2 2 Math And Math C 2 D 2 1 Math Then The Value Of Math Ad 2 Ac 2 Math Is Equal To Quora
B 2 C 2 A 2 D 2 4abcd Brainly In
A B C D 4abcd Factories It Brainly In
Dear Experts Factorise These Questions Ans Plz 1 X 2y X 2 4y 2 2 9 X 2 2xy Y 2 3 A 4 B 4 2b 2 1 4 A 2 B C B C 3 5 A B 3 A B Math Factorisation Meritnation Com
If Math A 2 B 2 2 Math And Math C 2 D 2 1 Math Then The Value Of Math Ad 2 Ac 2 Math Is Equal To Quora
Factorise B2 C2 D2 4abcd Math Factorisation Meritnation Com


