A2+b2c2 Solve For B Calculator
Completing The Square Calculator
Pythagorean Theorem Calculator
K 2 2k 1 0 Quadratic Equation Calculator Solution
Amazon Com Hp 10bii Financial Calculator Nw239aa Office Products
Quadratic Equation Calculator By Tutorvista Team Issuu
Trapezoid Calculator
To ask Unlimited Maths doubts download Doubtnut from https//googl/9WZjCW Prove that in any triangle ABC(i) `c^2 = a^2 b^22ab cos C` (ii) `c=bcoscosB`.
A2+b2c2 solve for b calculator. The intersection of events A and B, written as P(A ∩ B) or P(A AND B) is the joint probability of at least two events, shown below in a Venn diagram In the case where A and B are mutually exclusive events, P(A ∩ B) = 0 Consider the probability of rolling a 4 and 6 on a single roll of a die;. Algebraic fractions Calculator online with solution and steps Detailed step by step solutions to your Algebraic fractions problems online with our math solver and calculator Solved exercises of Algebraic fractions. How to Use the Calculator Type your algebra problem into the text box For example, enter 3x2=14 into the text box to get a stepbystep explanation of how to solve 3x2=14 Try this example now!.
Pythagorean theorem calculator is also known as hypotenuse calculator How do you make a^2b^2 = c^2?. If so, then to solve for "a" you would subtract b^2 from both sides of the equal sign and then take the square root of either side a^2 b^2 b^2 = c^2 b^2 a^2 = c^2 b^2 a = plus or minus. In general, there are only a couple expressions like a^22abb^2 and a^2b^2 that factor in such a simple manner You can even do the same thing for a^2b^2=c^2 and there are a number of solutions like the 3,4, 5 and 5,12, 13 right triangles (You should recognize the Pythagoren theorem equation a^2b^2=c^2 for this latter case).
Easy to use calculator to solve right triangle problems Here you can enter two known sides or angles and calculate unknown side ,angle or area Stepbystep explanations are provided for each calculation. A = cos1 (b 2 c 2a 2)/2bc Considering that a, b and c are the 3 sides of the triangle opposite to the angles A, B and C as presented within the following figure, the law of cosines states that In order to solve for the three sides (a, b and c) you should be using these equations. Medians 21 Median to side b (tb) in triangle ABC is 12 cm long a What is the distance of the center of gravity T from the vertex B?.
\ loc(a,b,c)= a^2 b^2 c^2 2ab\cos(\theta)\ Then use nsolve Note nsolve must be used when solving for an unknown angle Otherwise, a complex solution will be given If working in degrees, set the bounds at 0,360 If working in radians, set the bounds at 0, 2pi. A 2 b 2 = c 2 This is known as the Pythagorean equation, named after the ancient Greek thinker Pythagoras This relationship is useful because if two sides of a right triangle are known, the Pythagorean theorem can be used to determine the length of the third side. Free PreAlgebra, Algebra, Trigonometry, Calculus, Geometry, Statistics and Chemistry calculators stepbystep This website uses cookies to ensure you get the best experience By using this website, you agree to our Cookie Policy.
Take A^2 to the other side C^2 A^2=B^2 then to remove the power '2' of B take the root of the left hand side B= C^2 A^2 (this whole side under root). For the Love of Physics Walter Lewin May 16, 11 Duration Lectures by Walter Lewin They will make you ♥ Physics Recommended for you. Now we can solve a Quadratic Equation in 5 steps Step 1 Divide all terms by a (the coefficient of x 2) Step 2 Move the number term (c/a) to the right side of the equation Step 3 Complete the square on the left side of the equation and balance this by adding the same value to the right side of the equation.
Solve your math problems using our free math solver with stepbystep solutions Our math solver supports basic math, prealgebra, algebra, trigonometry, calculus and more. \ a^{2} b^{2} = c^{2} \ Solve for the Length of the Hypotenuse c The length of the hypotenuse is the square root of the sum of the sides squared \ c = \sqrt{a^{2} b^{2}} \ Solve for Length of Side a The length of side a is the square root of the squared hypotenuse minus the square of side b. Solve your math problems using our free math solver with stepbystep solutions Our math solver supports basic math, prealgebra, algebra, trigonometry, calculus and more.
Square Formulas(a b)2= a2 b2 2ab(a − b)2= a2 b2− 2aba2− b2= (a − b) (a b)(x a) (x b) = x2 (a b) x ab(a b c)2= a2 b2 c2 2ab 2bc 2ca. Least Common Multiple a 2 b 2 c 2 Calculating Multipliers 73 Calculate multipliers for the two fractions Denote the Least Common Multiple by LCM Denote the Left Multiplier by Left_M Denote the Right Multiplier by Right_M Denote the Left Deniminator by L_Deno Denote the Right Multiplier by R_Deno Left_M = LCM / L_Deno = c 2 Right_M = LCM / R_Deno = a 2 b 2. Question 21 Your Mark 2(a) 2(b) 2(c) 2(a) 2(b) 2(c) 2(a) 2(b) 2(c) 2(a) 2(b) 2(c) ) 2(a) 2(b) 2(c) Problem #3 Solve The Following Initial Value Problem For Y=f(x) Da = ES4, Y= 33 When X=0 Problem #3 Enter Your Answer As A Symbolic Function Of X, As In These Examples Submit Your Work Has Been Saved!.
A^2B^2=C^2 B^2=C^2A^2 B=SQRT (C^2A^2). A / sin(A) = b / sin(B) = c / sin(C) and is used to solve triangle problems 1 Use Sine Law Calculator When 2 Angles and one Opposite Side are Given (AAS case) Enter the 2 angles A and B (in DEGREES) and side a (opposite angle A) as positive real numbers and press "Calculate and Solve Triangle" The outputs are sides b and c and angle C in. Algebra Calculator 037 Graphing Calculator 025 Matrix Calculator 014 Draw, Scan, Solve, and Learn!.
\ a^{2} b^{2} = c^{2} \ Solve for the Length of the Hypotenuse c The length of the hypotenuse is the square root of the sum of the sides squared \ c = \sqrt{a^{2} b^{2}} \ Solve for Length of Side a The length of side a is the square root of the squared hypotenuse minus the square of side b. Solve using Law of cosines b^2=a^2c^22acCosB Show transcribed image text Expert Answer 100% (1 rating) Previous question Next question Transcribed Image Text from this Question & À & b Б FIND SIDE 8CXN с B looº 105 IN. Simple and best practice solution for (xa)2=b equation Check how easy it is, and learn it for the future Our solution is simple, and easy to understand, so don`t hesitate to use it as a solution of your homework If it's not what You are looking for type in the equation solver your own equation and let us solve it.
The equation a^2b^2 = c^2 should be simplified further to find the unknown length of c To simplify the equation, take the square root on both sides The equation becomes √(a^2 b^2) = c Apply the values and find c. Simple and best practice solution for a2b=c equation Check how easy it is, and learn it for the future Our solution is simple, and easy to understand, so don`t hesitate to use it as a solution of your homework. B, Find the distance between T and the side b Angle Draw angle ∠ ABC = 130° and built its axis.
B, Find the distance between T and the side b Angle Draw angle ∠ ABC = 130° and built its axis. However, the legs measure 11 and 60 First, use the Pythagorean theorem to solve the problem The side opposite the right angle is the hypotenuse or c c 2 = a 2 b 2 c 2 = 11 2 60 2 c 2 = 121 3600 c 2 = 3721 c is equal to the square root of 3721, so c = 61 Now here is how to check your answer with the Pythagorean theorem calculator. For any three positive numbers a, b, and c such that a 2 b 2 = c 2, there exists a triangle with sides a, b and c, and every such triangle has a right angle between the sides of lengths a and b An alternative statement is For any triangle with sides a, b, c, if a 2 b 2 = c 2, then the angle between a and b measures 90°.
High School Math Solutions – Quadratic Equations Calculator, Part 2 Solving quadratics by factorizing (link to previous post) usually works just fine But what if the quadratic equation. However, the legs measure 11 and 60 First, use the Pythagorean theorem to solve the problem The side opposite the right angle is the hypotenuse or c c 2 = a 2 b 2 c 2 = 11 2 60 2 c 2 = 121 3600 c 2 = 3721 c is equal to the square root of 3721, so c = 61 Now here is how to check your answer with the Pythagorean theorem calculator. Medians 21 Median to side b (tb) in triangle ABC is 12 cm long a What is the distance of the center of gravity T from the vertex B?.
If so, then to solve for "a" you would subtract b^2 from both sides of the equal sign and then take the square root of either side a^2 b^2 b^2 = c^2 b^2 a^2 = c^2 b^2. Free Online Scientific Notation Calculator Solve advanced problems in Physics, Mathematics and Engineering Math Expression Renderer, Plots, Unit Converter, Equation Solver, Complex Numbers, Calculation History c^2 = a^2b^2 now subtract a^2 from both sides c^2 a^2 = b^2 Now take the square root of both sides. How to Use the Calculator Type your algebra problem into the text box For example, enter 3x2=14 into the text box to get a stepbystep explanation of how to solve 3x2=14 Try this example now!.
A^2B^2=C^2 B^2=C^2A^2 B=SQRT (C^2A^2). The answer is suposed to be a single fraction please help me understand how to get to the answer 1/a = (3b 2c) / bc a = bc / (3b2c) Source(s) Mathematics Major 2 0 Sam Lv 7 1 decade ago Solution 1 1/a 2/b = 3/c Hence, 1/a = (3/c 2/b) = (3/c 2/b)/1 Thus, a/1 = 1 / (3/c 2/b) or, a = 1 / (3/c. Complete the Square Calculator 1 Enter the coefficients a, b and c and press "Complete Square" a, b and c can be entered as integers, fractions or numbers with a decimal point as shown below We have completed the square in example 1 for the expression $2x^2 6 x 5/2 = 2(x 3/2)^2 2$ and therefore solving the given equation is.
Compute answers using Wolfram's breakthrough technology & knowledgebase, relied on by millions of students & professionals For math, science, nutrition, history. In algebra, a quadratic equation (from the Latin quadratus for "square") is any equation that can be rearranged in standard form as ax²bxc=0 where x represents an unknown, and a, b, and c represent known numbers, where a ≠ 0 If a = 0, then the equation is linear, not quadratic, as there is no ax² term. Wolfram has it written as $(a^2b^2)(c^2d^2)=(ac\pm bd)^2(bc\mp ad)^2$ I believe the book wrote them separately With the same variables, that yields $(acbd)^2(bcad)^2=(acbd)^2(bcad)^2$, which I think is equivalent to what you have $\endgroup$ – Mike Jun 4 '12 at 37.
Solve for b a^2b^2=c^2 Subtract from both sides of the equation Take the square root of both sides of the equation to eliminate the exponent on the left side. It is not possible. Square Formulas(a b)2= a2 b2 2ab(a − b)2= a2 b2− 2aba2− b2= (a − b) (a b)(x a) (x b) = x2 (a b) x ab(a b c)2= a2 b2 c2 2ab 2bc 2ca.
1/a 2/b = 3/c solve for a?. Free solve for a variable calculator solve the equation for different variables stepbystep This website uses cookies to ensure you get the best experience By using this website, you agree to our Cookie Policy. 018 Solve long equations, draw in landscape!.
Construct a triangle ABC is is given c = 60mm hc = 40 mm and b = 48 mm analysis procedure steps construction;. The only appropriate response I can think of is how to interpret the exponent Any parentheses raised to the nth power means you have to rewrite that expression n times and then multiply them all In this case the exponent is just 2, so we rewri. 45 45 90 triangle sides The legs of such a triangle are equal, the hypotenuse is calculated immediately from the equation c = a√2If the hypotenuse value is given, the side length will be equal to a = c√2/2 Triangles (set squares).
Get stepbystep explanations See how to solve problems and show your work—plus get definitions for mathematical concepts Graph your math problems. Example 2 Solve (8x 4y 7z) 2 Solution This proceeds as Given polynomial (8x 4y 7z) 2 represents identity first ie (a b c) 2 Where a = 8x, b = 4y and c = 7z Now apply values of a, b and c on the identity ie (a b c) 2 = a 2 b 2 c 2 2ab 2bc 2ca and we get (8x 4y 7z) 2 = (8x) 2 (4y) 2 (7z) 2 2(8x)(4y) 2(4y)(7z) 2(7z)(8x) Expand the exponential forms and. Construct a triangle ABC is is given c = 60mm hc = 40 mm and b = 48 mm analysis procedure steps construction;.
Quadratic Equation Calculator To solve a 2 nd order equation like ax² bx c = 0, enter or replace the coefficients a, b and c Where, a is mandatory and nonzero Ex To find the roots of the equation x² 5x 6 = 0, enter a = 1, b = 5 and c = 6.
Cramers Rule Calculator
Quadratic Formula Calculator Mathpapa
Triangle Calculator
How To Solve Without Calculator Askmath
Ppt Download
What Is 8 2 2 2 The Correct Answer Explained Mind Your Decisions
Graph Graph Equations And Equation Systems With Step By Step Math Problem Solver
Solved Q 3 8 A Find The 32nd Term Of The Arithmetic Sequence Whose Second Term Is 18 And A Third Term Is 9 Also Find Their Explicit And Recurs Course Hero
If Cos A Cos B Cos C Sin A Sin B Sin C Then The Value Of Expression Sin A B Sin2c Is
What Is 8 2 2 2 The Correct Answer Explained Mind Your Decisions
Pythagorean Theorem Calculator
Solve Quadratic Equation With Step By Step Math Problem Solver
Ellipse Calculator
Q Tbn And9gcsvtnolhia Ysn4vouqg6y3oweuexa9u7vhz33t2sx9 5nyiduf Usqp Cau
Solve Solve Inequalities With Step By Step Math Problem Solver
Right Triangles Calculator
Solving Simultaneous Equations Using Calculator Youtube
Pythagorean Theorem
Solve Solve Inequalities With Step By Step Math Problem Solver
Solved 6 Find The Slope Of The Tangent Line To F A 2 At Chegg Com
Q Tbn And9gctfu3psrecfuubzqh 9zbmxn5ivaeypypfgfb14jy7b4isorjln Usqp Cau
Isosceles Triangle Calculator High Accuracy Calculation
How To Operate A Scientific Calculator With Pictures Wikihow
Solve Quadratic Equation With Step By Step Math Problem Solver
Quadratic Formula The Mathpapa Guide
2
Google Geometry Calculator Solves Geometry Problems Techtolead Com
Simplify Reduce Fractions With Step By Step Math Problem Solver
Math Scene Equations Iii Lesson 2 Quadratic Equations
Pythagorean Theorem Calculator
How To Use The Pythagorean Theorem Step By Step Examples And Practice
What Is The Formula For A B C Quora
Google Operating System Google Geometry Calculator
Equations Of Hyperbolas College Algebra
Pythagorean Theorem Calculator
How To Solve Quadratic Equations Alcula S Online Calculators Blog
Graph Graph Equations And Equation Systems With Step By Step Math Problem Solver
What Is The Formula For A B C Quora
Http Www Mayfieldschools Org Downloads Lessons 7 1 and 7 4 slope fields and diff eqs key2 Pdf
Quadratic Formula Calculator
4 Given Variables C 2 Determine The Following A B Homeworklib
Modeling With Trigonometric Equations Precalculus Ii
Ratio Calculator Free Math Lessons Math Lessons Math Manipulatives
How To Solve Quadratic Equations On A Casio Calculator Fx 85gt Plus Youtube
View Question C Sqrt A 2 B 2 Solve For B
Where Does B 2 A 2 C 2 Come From In Derivation Of The Standard Equation Of An Ellipse Mathematics Stack Exchange
Quadratic Function Calculator
Solved Please Answer All The Questions That I Have Here O Chegg Com
Solved Solve Each Equation For X A 6 2x 7 6 35 B 4 Chegg Com
Graph Graph Equations And Equation Systems With Step By Step Math Problem Solver
Solve Quadratics Using The Quadratic Formula
Quadratic Equation Calculator By Tutorcircle Team Issuu
Http Media Rochester K12 Mi Us Download Token Ocarojcyvwc 3d
Distance Calculator Formula
Solved A Graphing Calculator Is Required For This Questio Chegg Com
How To Solve Logarithmic Equations With The Scientific Calculator Fx 991es Youtube
Area Calculator Calculate Area Of Various Shapes Inch Calculator
Triangle Theorems Calculator
Non Right Triangles Law Of Cosines Algebra And Trigonometry
Pythagorean Theorem Calculator
Distance Between Two Points Calculator
Pythagorean Theorem Calculator
Chapter 2 Trigonometry 2 4 The Cosine Law Ppt Download
Practice Your Skills For Chapter 9 Pdf
How To Use The Pythagorean Theorem Step By Step Examples And Practice
Evaluating Natural Logarithm With Calculator Video Khan Academy
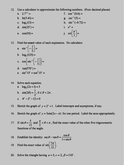
Solved 12 Use A Calculator To Approximate The Following Chegg Com
Heron S Formula Calculator Formula Proof
Thomas Algorithm For System Of Linear Equations Using Casio Fx 570ex Classwiz Calculator Youtube
Practice Your Skills For Chapter 9 Pdf
Solved Solve By Hand Calculator Matlab Can Be Used To Ch Chegg Com
Limit Calculator Wolfram Alpha
Calculator Wikipedia
Triangle Theorems Calculator
Solving Equations Using Algebra Calculator Mathpapa
Lesson Plan Week 2
Solved Find The Measure Of 8 In The Triangle Do Not Use Chegg Com
Pythagorean Theorem Calculator
Pythagorean Theorem Calculator
What S On The Sat Math With Calculator Test Testive
Solved 1 Find The Value Of Each Expression Without Usin Chegg Com
Solved Solve Using The Substitution Method Use A Graphin Chegg Com
How Do You Find A Quadratic Function F X Ax 2 Bx C For Which F 1 2 F 3 46 And F 3 16 Socratic
3
The Quadratic Formula Algebra Video Khan Academy
Calculator Solves Ratios For The Missing Value Or Compares 2 Ratios And Evaluates As True Or False Solve Ratio Problems A In 21 Equivalent Fractions Ratio Fractions
Distance Between Point Line Video Khan Academy
Ratio Calculator Calculatorsoup Com Calculators Math Ratios Php Online Calculator Math Calculators
Right Triangle Calculator Definition Formula
Pythagorean Triple Wikipedia
Pythagorean Theorem Calculator
1
How To Use The Pythagorean Theorem Step By Step Examples And Practice
Example 17 Calculate Ac A B C Also Verify Examples
Algebra 1 Practice Midterm Calculator Part Mrtanguayalgebra1
Quadratic Formula Calculator
Pythagorean Theorem Calculator
Pre Calc Quiz 6 1 And 6 2 Pre Calc Quiz 6 1 And 6 2 Name Solve For The Missing Side Or Angle For The Triangle Round To The Nearest Hundreath 1 2 3 4 5 Course Hero


